當兩個線圈同時有電流流入時,每個線圈中產生的自感磁通與互感磁通的方向一致(即兩個磁通互相加強),則把流入電流的兩個端鈕就稱為同名端。同名端通常用相同的符號“·”或“*”標記。

可用實驗的方法測定,如圖10-1-3,稱為直流通斷法。

當開關S閉合的瞬間,直流電壓表正向偏轉,可以判斷1、2兩端為同名端。
判斷互感線圈的同名端在實際工程中是非常重要的。
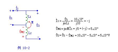
【實例10-2】具有互感的電路如圖例10-2,已知ωL1=ωL2=10Ω,ωM=5Ω,
【解】設互感電壓的參考方向如圖所示。

當兩個線圈同時有電流流入時,每個線圈中產生的自感磁通與互感磁通的方向一致(即兩個磁通互相加強),則把流入電流的兩個端鈕就稱為同名端。同名端通常用相同的符號“·”或“*”標記。

可用實驗的方法測定,如圖10-1-3,稱為直流通斷法。

當開關S閉合的瞬間,直流電壓表正向偏轉,可以判斷1、2兩端為同名端。
判斷互感線圈的同名端在實際工程中是非常重要的。
【實例10-2】具有互感的電路如圖例10-2,已知ωL1=ωL2=10Ω,ωM=5Ω,
【解】設互感電壓的參考方向如圖所示。
