若輸入的激勵信號為零,僅有儲能元件的初始儲能所激發的響應,稱為零輸入響應.
反之,電路的初始儲能為零,僅由激勵引起的響應為零狀態響應.
動態電路,電源.電感或電容的初始儲能均能作為電路的激勵引起響應.
零狀態響應(zero-state response):
電路在儲能元件零初始條件下由外施激勵引起的電路響應。

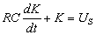
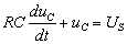
1.RC電路的零狀態響應
t = 0時,開關S打向位置2,列方程:

與輸入激勵的變化規律有關。當某些激勵的強制分量為電路的穩態解時,強制分量又稱為穩態分量。
(1)求穩態分量 即特解

在該電路中,令
代入方程
在電路中,通常取換路后的新穩態值 [記作:
所以該電路的特解為:
(2)求

能量關系
電源提供的能量一半消耗在電阻上,一半轉換成電場能量儲存在電容中,也就是說,充電效率為50%。
2.RL電路的零狀態響應
已知iL(0-) = 0,求電感電流iL(t)。

3.一階電路零狀態響應解的一般公式
一階電路的零狀態響應是由激勵引起的響應,它實質上是動態元件的儲能由零逐漸增長到某一定值的過程。
![]()
(1)τ體現了一階電路的固有特性,衰減快慢取決于時間常數τ。
RC電路τ = ReqC,RL電路τ = L/Req。
(2)![]()
例6. 如圖所示電路,已知t < 0時電路處于穩態,t = 0時開關S閉合。求t > 0時的L、i1、u2。


返回頂部
刷新頁面
下到頁底