什么叫觸發器
施密特觸發電路( 簡稱)是一種波形整形電路,當任何波形的信號進入電路時,輸出在正、負飽和之間跳動,產生方波或脈波輸出。不同于比較器,施密特觸發電路有兩個臨界電壓且形成一個滯后區,可以防止在滯后范圍內之噪聲干擾電路的正常工作。如遙控接收線路,傳感器輸入電路都會用到它整形。
施密特觸發器
一般比較器只有一個作比較的臨界電壓,若輸入端有噪聲來回多次穿越臨界電壓時,輸出端即受到干擾,其正負狀態產生不正常轉換,如圖1所示。

圖1 (a)反相比較器 (b)輸入輸出波形
施密特觸發器如圖2 所示,其輸出電壓經由R1 、R2 分壓后送回到運算放大器的非反相輸入端形成正反饋。因為正反饋會產生滯后(Hysteresis)現象,所以只要噪聲的大小在兩個臨界電壓(上臨界電壓及下臨界電壓)形成的滯后電壓范圍內,即可避免噪聲誤觸發電路,如表1 所示

圖2 (a)反相斯密特觸發器 (b)輸入輸出波形
表1施密特觸發器的滯后特性

非反相施密特電路

圖4 非反相史密特觸發器
非反相施密特電路的輸入信號與反饋信號均接至非反相輸入端,如圖4所示。
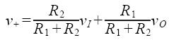
由重迭定理可得非反相端電壓

反相輸入端接地: ν- = 0,當ν+ = ν- = 0 時的輸入電壓即為臨界電壓。
將ν+ = 0 代入上式得![]()
整理后得臨界電壓
當νo 為負飽和狀態時,可得上臨界電壓

當νo為正飽和狀態時,可得下臨界電壓,

VTH與VTL之間的電壓差為滯后電壓:


圖5 (a)計算機仿真圖 (b)轉換特性曲線
輸入、輸出波形與轉換特性曲線如圖5所示。
當輸入信號下降到小于下臨界電壓VTL 時,輸出信號由正狀態轉變為
負狀態:νo 《 VTL →νo = - Vsat
當輸入信號上升到大于上臨界電壓VTH 時,輸出信號由負狀態轉變為
正狀態: νo > VTL →νo = + Vsat
輸出信號在正、負兩狀態之間轉變,輸出波形為方波。


返回頂部
刷新頁面
下到頁底