電機的種類有很多,但按照供電電源來分,無非就是交流電機和直流電機。那么有沒有既可以使用交流電源,也可以使用直流電源的電機呢?
答案是:有,下面要介紹的單相串激(串勵)電機就是一種這樣的電機。
單相串激(串勵)電機使用相當普遍,像手電鉆、角磨機等各類手持電動工具以及小家電大多使用的就是單相串激(串勵)電機,這種電機最明顯的特征是有碳刷。
單相串激(串勵)電機的結構與直流串勵電機的結構基本是相同的。
定子由鐵心和勵磁繞組組成,轉子由鐵心、電樞繞組、換向器及轉軸組成。勵磁繞組和電樞繞組都是繞線式繞組,二者通過碳刷和換向器形成串聯回路,這也是串勵的由來。
定子繞組也就是勵磁繞組一般只有一對磁極。轉子繞組也就是電樞繞組的線圈不是閉合的,只有碳刷接觸時才形成閉合回路。
串激電機的轉速和頻率有關系嗎?
三相異步電機的轉速是有極對數和頻率決定的 串激電機單靠極對數來決定嗎 祥細點回答: 串激電機也叫通用電機,廣范用于電動工具和家用電氣,它的特點是轉速快,效率高,體積小,啟動轉軌大,一般都是一對磁極,要改變它的轉速只能通過該變電壓的高低,電流的大小或通過機械來調速,和頻率一點關系都沒有。
單相串激電機的工作原理
串激電機和直流串勵電機的結構是相同的,所以瞬時兩者的工作狀態也是一樣的,我們可以先了解一下直流串勵電機的工作原理,然后稍加變化就可以明白串激電機的工作原理。
電流從左側的線圈進入,經過轉子繞組,從右側的線圈流出。根據電流的磁效應,定子繞組會產生一個方向從圖中N到S的磁場,因為電流的方向是固定的,所以磁場的方向也是固定的。
同時,通入電流的轉子繞組會受到電磁力的作用,力的方向可以根據左手定則判斷出來。在N極和S極范圍內的線圈受到力的大小相同,但是方向不同,電磁力矩會使轉子開始轉動。
電磁力加上慣性的作用,轉子轉動半周以后,因為換向器的存在,流入轉子線圈的電流方向會發生變化,使其在N和S范圍內受力的方向不變,轉子就會一直轉動下去。
這就是直流串勵電機的工作原理,單相串激電機因為接入的是交流電,電流的方向是不斷變化的,定子繞組產生的磁場方向也一直變化,但是因為轉子繞組的電流方向同步發生變化,所以轉子的受力方向不會改變。
對于換向器想說兩句,在接入直流電的時候,換向器確實起到了改變轉子繞組電流方向的作用,但是接入交流電時,方向的變化是交流本身的特性產生的,所以在單相串激電機里叫換向器好像不是特別合適。另外,關于左右手定則、安培定則、電磁感應等等,上篇文章已經做了介紹,這里不在贅述,需要的朋友可以去看看上篇關于三相異步電機的文章。
單相串激(串勵)電機的特點
串激電機有啟動不需要電容、轉速快、啟動轉矩大等優點,但也有噪音大、碳刷易磨損、電磁干擾強等缺點。
串激電機的轉速為什么可以很高?
串激電機的轉速比較高,可以達到幾千幾萬轉,甚至更高。像手電鉆的電機轉速就在6000轉以上。
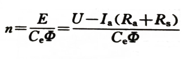
分析如下,設串激電機的轉速是n,
其中U是電源電壓,Ia是電樞反應,Ra是電樞內阻,Rs是電樞串聯電阻,Ce是電動勢常數,Φ是氣隙磁通。
可以看出轉速和電源的頻率沒有關系,電源電壓增加,電樞電流減小都可以增加串激電機的轉速。
串激電機為什么有啟動轉矩大的特點?
先看一下轉矩公式:T=Ct*Φ*Ia,其中Ct是轉矩常數,和電機結構有關;Φ是氣隙磁通;Ia是電樞電流。可以看出在電機確定的情況下,串激電機的轉矩主要和磁通及電樞電流有關。
上篇文章已經了解過,繞組在切割磁通線的時候會感應出反電動勢,轉速越高,反電動勢越大,對繞組電流的限制越大。
對于串激電機來說,定子磁場的位置是固定的,在通電瞬間,轉子和定子是相對靜止的,沒有切割磁通線的情況存在,所以也就沒有反電動勢。電流此時是很大的,磁通和電樞電流也大,所產生的電磁轉矩也大。隨著轉速的增加,反電動勢增加,電流減小,轉矩也減小。
這就是串激電機的一個特點,轉速越慢轉矩越大,我們平時使用手持電動工具時應該有這樣的感受。
既然串激電機啟動不需要電容,那么電動工具里的電容是做什么的呢?
串激電機不需要起動電容也不需運行電容,加電容主要起到濾波作用,用來改善電氣特性,可以減小碳刷火花,提高電機壽命,減小電磁干擾等。


返回頂部
刷新頁面
下到頁底