三相異步電動機
實現電能與機械能相互轉換的電工設備總稱為電機。電機是利用電磁感應原理實現電能與機械能的相互轉換。把機械能轉換成電能的設備稱為發電機,而把電能轉換成機械能的設備叫做電動機。
在生產上主要用的是交流電動機,特別三相異步電動機,因為它具有結構簡單、堅固耐用、運行可靠、價格低廉、維護方便等優點。它被廣泛地用來驅動各種金屬切削機床、起重機、鍛壓機、傳送帶、鑄造機械、功率不大的通風機及水泵等。
對于各種電動機我們應該了解下列幾個方面的問題:(1)基本構造;(2)工作原理;(3)表示轉速與轉矩之間關系的機械特性;(4)起動、調速及制動的基本原理和基本方法;(5)應用場合和如何正確使用。
三相異步電動機的結構與工作原理
1.三相異步電動機的構造
三相異步電動機的兩個基本組成部分為定子(固定部分)和轉子(旋轉部分)。此外還有端蓋、風扇等附屬部分,如圖5-1所示。
2).轉子
鼠籠式電動機由于構造簡單,價格低廉,工作可靠,使用方便,成為了生產上應用得最廣泛的一種電動機。
為了保證轉子能夠自由旋轉,在定子與轉子之間必須留有一定的空氣隙,中小型電動機的空氣隙約在0.2~1.0mm之間。
2.三相異步電動機的轉動原理
1).基本原理
為了說明三相異步電動機的工作原理,我們做如下演示實驗,如圖5-2所示。
(1).演示實驗:在裝有手柄的蹄形磁鐵的兩極間放置一個閉合導體,當轉動手柄帶動蹄形磁鐵旋轉時,將發現導體也跟著旋;若改變磁鐵的轉向,則導體的轉向也跟著改變。
(2).現象解釋:當磁鐵旋轉時,磁鐵與閉合的導體發生相對運動,鼠籠式導體切割磁力線而在其內部產生感應電動勢和感應電流。感應電流又使導體受到一個電磁力的作用,于是導體就沿磁鐵的旋轉方向轉動起來,這就是異步電動機的基本原理。
轉子轉動的方向和磁極旋轉的方向相同。
(3).結論:欲使異步電動機旋轉,必須有旋轉的磁場和閉合的轉子繞組。
2).旋轉磁場
(1).產生
圖5-3表示最簡單的三相定子繞組AX、BY、CZ,它們在空間按互差1200的規律對稱排列。并接成星形與三相電源U、V、W相聯。則三相定子繞組便通過三相對稱電流:隨著電流在定子繞組中通過,在三相定子繞組中就會產生旋轉磁場(圖5-4)。
當wt=00時,iA=0,AX繞組中無電流;iB為負,BY繞組中的電流從Y流入B1流出;iC為正,CZ繞組中的電流從C流入Z流出;由右手螺旋定則可得合成磁場的方向如圖5-4(a)所示。
當wt=1200時,iB=0,BY繞組中無電流;iA為正,AX繞組中的電流從A流入X流出;iC為負,CZ繞組中的電流從Z流入C流出;由右手螺旋定則可得合成磁場的方向如圖5-4(b)所示。
當wt=2400時,iC=0,CZ繞組中無電流;iA為負,AX繞組中的電流從X流入A流出;iB為正,BY繞組中的電流從B流入Y流出;由右手螺旋定則可得合成磁場的方向如圖5-4(c)所示。
可見,當定子繞組中的電流變化一個周期時,合成磁場也按電流的相序方向在空間旋轉一周。隨著定子繞組中的三相電流不斷地作周期性變化,產生的合成磁場也不斷地旋,因此稱為旋轉磁場。
(2).旋轉磁場的方向
旋轉磁場的方向是由三相繞組中電流相序決定的,若想改變旋轉磁場的方向,只要改變通入定子繞組的電流相序,即將三根電源線中的任意兩根對調即可。這時,轉子的旋轉方向也跟著改變。
3).三相異步電動機的極數與轉速
(1).極數(磁極對數p)
三相異步電動機的極數就是旋轉磁場的極數。旋轉磁場的極數和三相繞組的安排有關。
當每相繞組只有一個線圈,繞組的始端之間相差1200空間角時,產生的旋轉磁場具有一對極,即p=1;
當每相繞組為兩個線圈串聯,繞組的始端之間相差600空間角時,產生的旋轉磁場具有兩對極,即p=2;
同理,如果要產生三對極,即p=3的旋轉磁場,則每相繞組必須有均勻安排在空間的串聯的三個線圈,繞組的始端之間相差400(=1200/p)空間角。
極數p與繞組的始端之間的空間角q的關系為:
(2).轉速n
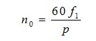
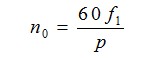
三相異步電動機旋轉磁場的轉速n0與電動機磁極對數p有關,它們的關系是:
(5-1)
由(5-1)可知,旋轉磁場的轉速n0決定于電流頻率f1和磁場的極數p。對某一異步電動機而言,f1和p通常是一定的,所以磁場轉速n0是個常數。
在我國,工頻f1=50Hz,因此對應于不同極對數p的旋轉磁場轉速n0,見表5-1
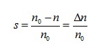
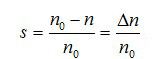
(3).轉差率s
電動機轉子轉動方向與磁場旋轉的方向相同,但轉子的轉速n不可能達到與旋轉磁場的轉速n0相等,否則轉子與旋轉磁場之間就沒有相對運動,因而磁力線就不切割轉子導體,轉子電動勢、轉子電流以及轉矩也就都不存在。也就是說旋轉磁場與轉子之間存在轉速差,因此我們把這種電動機稱為異步電動機,又因為這種電動機的轉動原理是建立在電磁感應基礎上的,故又稱為感應電動機。
旋轉磁場的轉速n0常稱為同步轉速。
轉差率s——用來表示轉子轉速n與磁場轉速n0相差的程度的物理量。即:
(5-2)
轉差率是異步電動機的一個重要的物理量。
當旋轉磁場以同步轉速n0開始旋轉時,轉子則因機械慣性尚未轉動,轉子的瞬間轉速n=0,這時轉差率S=1。轉子轉動起來之后,n>0,(n0-n)差值減小,電動機的轉差率S<1。如果轉軸上的阻轉矩加大,則轉子轉速n降低,即異步程度加大,才能產生足夠大的感受電動勢和電流,產生足夠大的電磁轉矩,這時的轉差率S增大。反之,S減小。異步電動機運行時,轉速與同步轉速一般很接近,轉差率很小。在額定工作狀態下約為0.015~0.06之間。
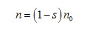
根據式(4-2),可以得到電動機的轉速常用公式
(5-3)
例 有一臺三相異步電動機,其額定轉速 n=975r/min,電源頻率f=50Hz,求電動機的極數和額定負載時的轉差率S。
解:由于電動機的額定轉速接近而略小于同步轉速,而同步轉速對應于不同的極對數有一系列固定的數值。顯然,與975r/min最相近的同步轉速n0=1000r/min,與此相應的磁極對數p=3。因此,額定負載時的轉差率為:
(4).三相異步電動機的定子電路與轉子電路
三相異步電動機中的電磁關系同變壓器類似,定子繞組相當于變壓器的原繞組,轉子繞組(一般是短接的)相當于副繞組。給定子繞組接上三相電源電壓,則定子中就有三相電流通過,此三相電流產生旋轉磁場,其磁力線通過定子和轉子鐵心而閉合,這個磁場在轉子和定子的每相繞組中都要感應出電動勢。
總結:
1、三相異步電動機的兩個基本組成部分為定子(固定部分)和轉子(旋轉部分)。
2、欲使異步電動機旋轉,必須有旋轉的磁場和閉合的轉子繞組,并且旋轉的磁場和閉合的轉子繞組的轉速不同,這也是“異步”二字的含義;
3、三相電源流過在空間互差一定角度按一定規律排列的三相繞組時,便會產生旋轉磁場;
4、旋轉磁場的方向是由三相繞組中電源相序決定的;
5、三相異步電動機旋轉磁場的轉速n0與電動機磁極對數p有關,它們的關系是:
6、轉差率s——用來表示轉子轉速n與磁場轉速n0相差的程度的物理量。即:
轉差率是異步電動機的一個重要的物理量,異步電動機運行時,轉速與同步轉速一般很接近,轉差率很小。在額定工作狀態下約為0.015~0.06之間。
7、三相異步電動機中的電磁關系同變壓器類似,定子繞組相當于變壓器的原繞組,轉子繞組(一般是短接的)相當于副繞組。


返回頂部
刷新頁面
下到頁底