電流諧振現象實際是不可能得到的,因電感線圈總是存在電阻的,則電路就變成了混聯,諧振現象也就較為復雜。

1.諧振條件與諧振頻率

1.諧振條件與諧振頻率

當電路發生并聯諧振時,電路兩端電壓
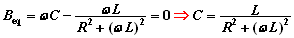
諧振條件:
諧振頻率:

上式表明,此電路發生并聯諧振是有條件的,參數不合適可能不會發生諧振。在電路參數一定時,改變電源頻率是否能達到諧振,要由下列條件決定:

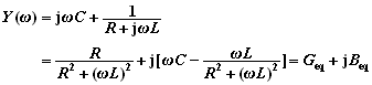
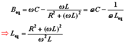
當電路發生諧振時,電路相當于一個電導(或電阻):
電容可以調節時,情況有所不同。
由



諧振時等效阻抗即并聯諧振阻抗 R0 為:
2.電感線圈與電容并聯電路的特征
(1)電阻呈高阻抗,且為純電阻。
整個電路相當于一個電阻,用R0表示,則
Q>>1時,R0 >> R。實際并聯電路在諧振頻率附近呈現高阻抗值。
(2)當電流源供電時,電路兩端呈現高電壓。
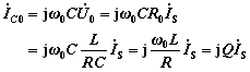
(3)電感、電容支路的電流值接近相等,且為總電流的Q倍。
諧振時


(4)當電壓源供電時,電路端口的總電流最小。
收音機的原理是把天線接收到的高頻信號經檢波(解調)還原成音頻信號,送到耳機變成音波。因空間有很多不同頻率的無線電波,為設法選擇所需要的節目,接收天線連接到一個選擇性電路(即帶通濾波器),把所需要的信號挑選出來,并把不要的信號濾掉,以免產生干擾。選擇性電路的輸出是選出某個電臺的高頻調制信號,還需要通過解調把它恢復成原來的音頻信號,送到耳機或揚聲器。
常見的收音機天線有兩種:外置天線和利用內置磁棒上的線圈作為天線。

對于利用外置天線接受信號的電路,通過天線接受到的信號可看成一個電流源信號。由于后面的隔離電路入端電阻一般很大,故忽略它對信號選擇電路的影響。

對于利用內置磁棒作為天線的電路,外面的高頻信號在磁棒上感應出的是一個電壓源,同樣可以忽略后面電路對選擇電路的影響。



返回頂部
刷新頁面
下到頁底