
2.UC(ω)的頻率特性


當η=0時,電感相當于短路,電壓全部加在電容上,UL= 0, UC= US ;當η=1時,即諧振,UL =UC = QUS ;當η→∞時,電容相當于短路,電壓全部加在電感上UL=US,UC=0。
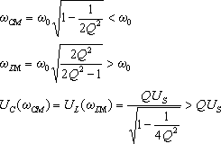
根據數學分析,當
Q越高,ωLM和ωCM 越靠近ω0
由于電感、電容電壓最大值出現在諧振頻率附近很小的范圍內,因此同樣可以用串聯諧振電路來選擇諧振頻率及其附近的電壓,即對電壓也具有選擇性。
上面得到的都是由改變頻率而獲得的,如改變電路參數,則變化規律就不完全與上相似。
上述分析原則一般來講可以推廣到其它形式的諧振電路中去,但不同形式的諧振電路有其不同的特征,要進行具體分析,不能簡單搬用。


返回頂部
刷新頁面
下到頁底