電磁波的方程:
設在真空中無電荷與電流,電磁場方程為:
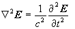
對第三式取旋度:
,
因為:
, 即:
,
而且 :
令:
所以:
。
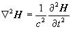
同樣地求出磁場的方程:
這就是電磁場的場量所滿足的波動方程,c 是真空中電磁波的波速。
這樣,麥克斯韋電磁場理論預言了電磁波的存在, 真空中電磁波的波速精確地與真空中的光速一致,由此麥克斯韋進一步斷定光是一種電磁波,從而揭示了光的電磁本質。
1888年赫茲用實驗證實了這個預言。赫茲的發現導致了無線電的誕生,開辟了電子技術的新紀元。
設在真空中無電荷與電流,電磁場方程為:

對第三式取旋度:
因為:
而且 :
令:
所以:
同樣地求出磁場的方程:
這就是電磁場的場量所滿足的波動方程,c 是真空中電磁波的波速。
這樣,麥克斯韋電磁場理論預言了電磁波的存在, 真空中電磁波的波速精確地與真空中的光速一致,由此麥克斯韋進一步斷定光是一種電磁波,從而揭示了光的電磁本質。
1888年赫茲用實驗證實了這個預言。赫茲的發現導致了無線電的誕生,開辟了電子技術的新紀元。


返回頂部
刷新頁面
下到頁底