一、磁場
1.電流或運動電荷之間相互作用的磁力是通過磁場而作用的。故磁力稱為磁場力。
2.磁場基本性質:它對于任何置于其中的其它磁極或電流施加作用力。
3.磁鐵和磁鐵、磁鐵和電流、電流和電流的關系可以通過以下圖表來表示

二、安培定律
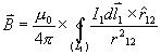
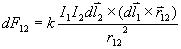
安培定律:研究電流之間的相互作用規律,是穩恒磁場的基本規律。這個規律是安培通過幾個精心設計的實驗得到的。電流元之間的相互作用規律只能間接的從閉合載流回路的實驗中倒推出來,這里直接給出結論。

(2) dF12的大小還與兩電流元的取向有關。為了敘述方便,令r12代表從電流元1到電流元2的矢徑,電流元的線元也用矢量dI1和dI2來表示,它們指向各自的電流方向(如上圖)。
當電流元共面情形時(如圖):

即:
此式即為安培定律的完整表達式。
三、磁感(應)強度
1.磁場:電流或運動電荷之間相互作用的磁力是通過磁場而作用的。故磁力稱為磁場力。
2.磁感(應)強度:
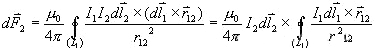
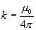
根據安培定律:
整個回路L1對電流元I2dl2的作用力:
又:
所以:

也可寫成:
,稱為畢奧-薩伐爾定律。
Tags:磁場,磁感強度,電磁學
責任編輯:admin相關文章列表
磁路及其基本定律磁路和磁路定律
電磁波的波動方程
磁路和磁性物質的磁性能
什么是磁場
電磁感應定律_法拉第電磁感應定律_楞次定律_右手定則
什么是無線輸電技術?
高斯定理的應用
磁場對載流導線的作用
洛倫茲力
電磁騷擾傳播或耦合機理
靜電屏蔽、靜磁屏蔽和高頻電磁場屏蔽
熱電現象,溫差電效應:塞貝克效應、帕爾貼效應、湯姆遜效應
帶電粒子在靜電場中的偏轉
帶電粒子在勻強磁場中的運動,洛倫茲力
奧斯特實驗 電流與磁場的實驗
電勢差
電勢能
磁場對電流的作用(電磁力公式及方向確定法左手定則)講解
【實驗方法】測量磁感應強度的方法有哪些_測量磁感應強度九種方法
電纜截面積越大,每平方載流量越小,真的和集膚效應有關嗎
什么是集膚效應_電流的集膚效應
動生電動勢的產生
圖文詳解 電磁學發展史
電磁波如何產生,電磁波與磁場的關系
安培環路定律
什么是霍爾效應?霍爾效應與磁場有關
磁感應線(磁力線)
磁感應強度疊加原理,畢—薩定律
安培力的功
[ 查看全部 ] 網友評論
推薦文章
最新推薦
熱門文章


返回頂部
刷新頁面
下到頁底