
因為電磁波在導線中傳播是電磁波的一種模式
在真空中傳播也是一種模式
他們都是麥克斯韋方程在特定邊界條件下的解
電磁波傳播的頻率是方程的特征值
電磁波電場磁場的分布是方程的特征向量
這一切都逃不出麥克斯韋的智慧~
Multitasking:
導線是為了束縛電磁波的,而不是為了束縛電子。對應不同頻率的電磁波,需要不同材質的波導。電磁波傳播不需要依賴介質,導線的作用是控制傳播方向。
Loki:
先占個坑,等過幾天考完電動力學回來細說……
先簡要地回答題主:
1.導線為什么能束縛電磁波?
首先,并不是任何導線都可以束縛電磁波。電磁波頻率上來后一般導線根本hold不住。從波導(waveguide)方程的推導中可以發現耗散和電磁波頻率的關系(見下圖)。簡要來理解,是因為邊界條件的存在,使得電磁波在管壁間做來回反射(因此被限制住),并進而傳播。

2.電磁波傳播不需要介質,為什么還要導線?
誠然,電磁波的傳播不同于機械波,確實無需介質(光以太假說不成立)。但是介質的存在卻可以影響電磁波的傳輸啊!正是因為這個特性,通過合理地選用材料(金屬、絕緣體均可)來制成導線,就可以在控制耗散的情況下進行高頻電磁波信號的傳輸。也就是說,傳輸線的存在可以幫助進行高頻信號傳播。
其次,當考慮到信號在傳輸線的傳輸時,尤其是在光纖內的傳播,我們特別需要考量的是介質的折射率。如果題主學過量子力學的話,應該知道折射率與態密度(DOS)相關。因此傳輸線不僅需要,而且必要。畢竟比起真空或是空氣那些戰五渣,光纖(主要成分是SiO2)蘊含的態密度大了去了。
說個題外話,這也是太陽能電池普遍采用Silicon來吸收光子的原理。
暫時想到這些,等有空再補上公式推導。
靈劍:
電磁波傳播不需要介質 ≠ 電磁波不能在介質里傳播
電磁波傳播不需要介質 ≠ 介質不影響電磁波傳播
不過嚴格來說,對于分布參數電路,傳播電磁波的介質既包括導線,也包括導線之間的空間,比如電感里插入鐵芯就可以影響電路參數,說明鐵芯也是電磁波傳播的介質的一部分。
=====================================================
看了一下其他的答案,我覺得還是有沒有回答到的地方,就是導線的作用究竟是什么?
答:導線可以束縛電流,也就在一定程度上束縛了電動勢產生的電場,但無法束縛磁場,也無法束縛磁場產生的感生電場。
導線束縛電動勢產生的電場的原理在于它可以導電,也就是說靠束縛電流產生的效果。導體在電動勢存在時會產生電流,電流只能沿著導體流動,電流流過有電阻的導體會產生電勢差,這樣電勢就沿著導體被固定了,穩恒場中電場是電勢的梯度,也就跟著電勢被束縛了起來。
但是磁場是不受導體控制的,電流產生的磁場會沿著垂直的方向一直擴散出去。如果是交變電流產生的變化的磁場,這個磁場會繼續激發出電磁波,電磁波就會傳播到導體外面去。這種泄露會改變導體的阻抗特性,讓傳輸效率降低。
為了防止這種泄露,通常的做法是用一個相反的場相互抵消,這樣電磁波就跑不到外面去了,比如說雙絞線,兩根線上的電流相反,產生磁場相互抵消,電磁波就輻射不出去了,但這并不是導體束縛了電磁波,電磁波仍然是會在兩根線的間隙中傳播的。
這個要分成兩種情況來討論: 直流電和交流電
對于直流電來說,在導線兩端建立電壓,導線內部產生電場,電子移動引起電流,這是沒有問題的。
對于電流I來說,其定義也是
在這種情況下,沒有電磁波,在導體中建立的電場起到主要的傳輸作用。
否則,以自由電子緩慢的移動速度,假設導線有幾百公里長,那么在一端激勵信號,在另一端接收信號就需要很長時間,顯然這是不可能的。
--------------------------------------------------------------------------------
對于交流電來說,在導線內部的電場是變化的電場,變化的電場產生變化的磁場,這就產生了電磁波。
導線其實并不能束縛電磁波,之所以在低頻情況下感覺導線能夠束縛住電磁波,這是因為低頻情況下電磁波的頻率太低, 電磁波的波長太長, 能量無法有效的輻射出去而已(當然并不是不能輻射,只不過是因為比例太小,在能量不大的情況下可以忽略).
以交流電50Hz為例,其波長是

大概是6000km的樣子.
顯然對于大部分家用電線而言, 其長度和交流電的波長根本不在一個數量級上, 所以基本不會有能量輻射出去.
即使對于調頻廣播(100MHz左右), 其波長也在3m左右, 根據天線理論也需要大概至少30cm長的天線才能有效的輻射出電磁波, 所以你可以看到廣播電視臺塔頂一般都會有巨大的天線用于發fu射信號(雖然主要是那個鍋的大小, 但是天線本身其實也并不小)
當頻率達到GHz的級別的時候(波長只有幾十厘米), 電磁波的輻射其實就非常容易了,射頻電路難做也是因為電路的通頻帶很寬,外部的高頻信號很容易耦合到電路中來,非常容易受到干擾。
在射頻電路設計中,為了有效地傳輸電磁波就需要金屬波導/同軸線/微帶線這種波導來導行電磁波,通過特殊設計的電場結構盡量避免電磁波的輻射,以及盡可能使非主模截止,以最大程度地引導電磁波主模傳播,另一個方面的原因是在高頻下導線的趨膚效應也非常嚴重,電磁波很難沿著導線方向進行傳導(全部變成熱能損耗掉了)。
以喜聞樂見的同軸線為例,這是同軸線的電場和磁場分布(來自百度百科

可以很清楚的看到,電場和磁場主要分布在兩層導體之間,而不是導體內部。事實上,在頻率比較高的情況下,導體內部幾乎沒有電場。同軸線這種特殊設計的電場結構也可以保證只要沒有達到其截止頻率,在其內部傳輸的電磁波幾乎不會輻射出去。所以說,在這里電磁波主要是通過兩層導體之間的介質傳播的(抽成真空也不是不可以)嘛。
從某種角度來說,導線/波導的意義就是提供了邊界條件。邊界條件雖然是一個數學上的概念,但是直觀的來看,舉個例子的話,為什么金屬球可以起到電磁屏蔽的作用呢?其實就可以解釋成金屬球給空間中的電場分布提供了一個邊界條件,從而改變了空間中的電場分布。
同軸線的例子也可以看成是中間那根導線輻射出的電磁波,被外層的屏蔽層隔絕掉了(雖然其實并不是這么回事) ,屏蔽層提供的邊界條件改變了單根導線的電場分布。(就好比是你在水流中插入了一根棒子, 自然水流會發生變化)
電磁波這個東西吧還有個特點,就是頻率越高越容易衰減,以基站為例。2G(GSM)一般是800-900MHz,如果建一個高塔,大概可以覆蓋半徑2-3km的面積,而4G(LTE)一般是2.xGHz,如果在操場中央建一個高塔的話,就不見得能夠覆蓋到整個操場了。
PS: 如果感興趣的話,可以看看傳輸線理論,超有趣的,顛覆你過去對于導線的傳統認知
------------------------------------------------
最后直接回答一下這兩個問題,假定題目中說的導線指的是金屬導線:
1. 導線為什么能夠束縛住電磁波?
導線不能束縛住電磁波。
之所以會有這樣的錯覺是因為:
1.0. 在直流時沒有電磁波存在;
1.1. 在低頻時波長相對于線路長度太長很難輻射,主要的電場與磁場分布也在導體內部,一般不會當作電磁波去考慮(超長輸電線除外);
1.2. 在高頻時早就輻射得不要不要的了→_→
2. 電磁波具有能量,電磁波傳播不需要介質,那導線的作用是什么?
2.0. 直流情況下,需要導體提供自由電子來建立電流啊;
2.1. 低頻情況下,一般等效成集總參數電路,沒人把它當成電磁波來看,導線的意義是能夠通過電流…
2.2. 高頻情況下,大家好,我是邊界條件。
這個問題個人感覺我們需要從電場和磁場的源說起
電場有兩種源:①電荷②變化的磁場
磁場有兩種源:①電流②變化的電場
1、在導體中傳播時,導體具備了電荷和電流,那么同時具備了電場和磁場的兩種源,她們就以導體為導向進行傳播了
2、在空氣中傳播時,電磁場僅能相依為命,互相作為對方的源進行傳播
第一種方式有利傳播,優先選擇。隨后有時間時再定量分析一下。
___________________________________________
做一下詳細解釋:
1、電場的兩種源:
①電荷:這個是學習電學中的基本概念,電場從正電荷出發,到負電荷終止。對應于Maxwell定律的高斯定理。典型應用是老式顯像管中的電子加速器。
②變化的磁場:這是法拉第電磁感應定律,變化的磁場產生變化的電場對應于Maxwell定律的法拉第電磁感應公式。。典型應用就是發電機。
2、磁場的兩種源:
①電流:這個就是奧斯特1820年4月發現的電流對磁針的作用,即電流的磁效應。對應于Maxwell定律的安培環路定律。典型應用是電磁鐵。
②變化的電場:這個是Maxwell在整理Maxwell方程過程中做的最大貢獻,引入了位移電流的概念,這樣就可以套用安培環路定律。典型應用。。。(暫未想到,歡迎補充。)
一、通過導體傳播時(在此只考慮橫電磁波):
電場的源為電荷,電荷與電場關系(此處電場不專指電場強度,有電壓就有電場):
電壓V=電荷Q/(電容C)
磁場的源為電流,磁場與電流關系(同樣此處磁場不專指磁場強度):
磁通量φ=電感L×電流i
電場能量= (1/2)CV^2 (V的2次方,以下同樣)
磁場能量 = (1/2)Li^2
在導體中傳播時,電場能量和磁場能量相互轉化,因此有:
電場能量 = 磁場能量
即:
(1/2)CV^2 = (1/2)Li^2
根據以上公式,我們得到了一個很重要的結論:
V/i =(L/C)^0.5
V/i很熟悉對不對,這個在歐姆定律中是電阻,在此單位依然是歐姆,但不再是電阻了,因為在理想導線中傳輸是不消耗能量的。在此是理想傳輸線的特征阻抗。
二、在真空中傳播時
電場能量= (1/2)×介電常數×電場強度的平方 = (1/2)*ε0*E^2
磁場能量 = (1/2)×磁導率×磁場強度的平方 = (1/2)*μ0*H^2
在真空中傳播時,電場和磁場相互轉化,能量也是相等的,即:
電場能量 = 磁場能量
(1/2)*μ0*H^2 = (1/2)*ε0*E^2
再整理一下得到:
E/H = (μ0/ε0)^0.5
我們又得到一個重大發現,這個就是真空中的電磁特征阻抗,大概是377歐姆。
三、其他說明的問題
通過導體傳播和在真空中傳播,是電磁波的兩種模式。根據我們需要進行選擇,也可以進行轉化:
通過導體傳播轉化為到真空(或空氣)中傳播,就是發射天線
從真空中(或空氣)轉化到通過導體中傳播,就是接受天線
只是我們在平時使用過程中,大多數需要限制電磁場能量在導體之間(同軸線纜、微帶線、帶狀線等),如果設計不好,讓電磁場能量泄露出去(在真空中傳播),就出現電磁兼容問題了。
我想真正問題關注的是:通過導體傳播時,如果我們專門設計的話,是可以保證絕大多數電磁場能量限制在兩個導體之間的(如微帶線)。為什么呢?
在此借用Maxwell方程的1個頻域表達式:
∇×H=J(電流源)+jw*ε0*E(變化電場源) =σE+jw*ε0*E
H:磁場強度
∇×H:為磁場強度的旋度
J:電流密度
j:虛數,j的平方等于-1
w :角頻率= 2πf(f為頻率)
ε0:真空中介電常數,ε0=8. 85 ×10^(-12)F/ m
E:電場強度
σ:電導率
其中:J =σE為歐姆定律的微觀形式
在電場強度E一定情況下:
真空中傳播時,從電場強度到磁場強度的轉化遵循(變化電場作為磁場源):
∇×H = jw*ε0*E
通過導體傳播時,從電場強度到磁場強度的轉化遵循(電流作為磁場源):
∇×H =σE
我們比較一下σ和w*ε0的大小
對于銅(20度):σ = 5.9×10^7 S/m
1KH電磁波:w*ε0 = 5.56×10^(-8) S/m
1MHz電磁波:w*ε0 = 5.56 ×10^(-5) S/m
1GHz電磁波:w*ε0 = 5.56 ×10^(-2) S/m
光的頻率為10^15,此時w*ε0 = 5.56 ×10^4 S/m,此時導體已經Hold不住電磁波了。
低頻時, w*ε0遠遠小于σ (差了N個數量級),因此在電場一定得情況下,電流作為磁場源的轉化效率遠遠大于變化電場作為磁場源的轉化效率,故導體可以束縛電磁波。(低頻時,電流作為磁場的源實在是太強了,變化的電場作為磁場的源實在太挫了,不是一個數量級別的選手)
其實,再直觀一點,可以將兩種傳播方式,類比為兩個電阻的并聯,在電壓一定的情況下,優先選擇電阻小的走電流。
知乎用戶
物理,數學 | 沒有人注意到我名字這么完美的對稱性嗎?
你做化學實驗的時候用過引流棒嗎?
而且傳電磁波的那玩意叫波導,不是導線,導線是傳電流的。他們的原理完全不同。其他答案也很多把同軸導線和波導混為一談的。
天涯明月夜
選錯專業的工科狗:
同志們好好回答不行么?所謂導線就是一個帶有自由電子的邊界,電磁場遇到這種邊界時會與導線中的電子相互作用形成散射場,跟原來的電磁場疊加以后會形成特定的電磁場分布,達到傳輸電磁能量得目的。波導也一樣,天線也沒啥區別。
我根據評論改改,上面說的波導,天線也一樣,意思是這些結構都是邊界條件,除了求解出來場分布不一樣,本質上沒什么區別。
Patrick Zhang:
題主的問題有2個:
1)導線為什么能夠束縛住電磁波?
2)電磁波具有能量,電磁波傳播不需要介質,那導線的作用是什么?
這兩個問題很有見地,是導線為何能導電的根本原因。
再來看三個副問題:
1)導線傳遞電能,是電場還是電子?
2)導線中電子的移動速度僅僅才1厘米/秒左右,電能是如何傳遞給負載的?
3)為何不建議用水來比喻電氣現象?
這些問題可是中學生們的最愛,我們姑且來探討一番。

坡印廷,人們對他的理論關注不多。原因是,他的理論是建立在麥克斯韋電磁理論之上的,有點高大上的感覺。不過,坡印廷理論的應用面可是極廣,只不過我們不知道就是了。
我們知道,電磁波是客觀存在的一種物質形式,它具有一定的能量。為了闡述能量傳遞情況,定義了能流密度S的概念:能流密度S的大小等于單位時間內通過垂直于能量傳播方向的單位面積上的能量。S的方向指向波的傳播方向。
能流密度S矢量就是坡印廷矢量。
在平面波中:

注意這里的乘號指的是矢量的叉乘,也即:
。
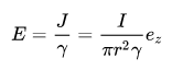
我們看圖1:

圖1中的導線半徑是r,長度是L。導線中流過電流I,導線的電導率是γ。
在導線內部,電場強度為:
。
電場強度表達式中,第一個分式的分子是電流密度J,第二個分式的分子是電流I,因此第二個分式分母中出現了導線截面積。
在導線內部,磁場強度為:

現在,我們以導線的表面為閉合面來考慮,則導線所吸收的功率為:

這里的R0就是這段導線的電阻。我們看到,這里的結論與我們在中學所熟知的結論是一致的。
由此我們能看出一個重要事實:電源所提供的能量一部分作為導線的損耗,而另一部分則傳遞給導線末端的負載。
那么流入導線內外的能量分布又如何?我們用坡印廷矢量來計算看看結果。
首先看看坡印廷矢量的形式:

我們把導線分成內外兩部分,兩部分的半徑分別是R1和R2,然后來做如下積分:

這說明什么?
第一:計算中完全沒有涉及到電子。可見導線傳遞能量的主體并不是電子,而是電場。
第二:電磁能量是通過導體的表面和周圍介質傳播的,導線起到引導和導向作用。
第三:導線任意截面所通過的能量均相等。
這三條事實上已經回答了題主的問題。
再看副問題:
1)導線傳遞電能,是電場還是電子?
回答:導線傳遞電能依靠的是電場,不是電子。
2)導線中電子的移動速度僅僅才1厘米/秒左右,電能是如何傳遞給負載的?
回答:同上,再結合前面的推導可知,電能是依靠電場傳遞給負載的。
3)為何不建議用水來比喻電氣現象?
回答:
中學生特別喜歡用水來比喻電氣現象。通過上面的解釋,我們發現電能的傳遞與水完全不同,兩者沒有毛關系。可見,用水來比喻電氣現象是十分不妥當的。
記得上《普通物理》(我們那時不叫大學物理,叫普通物理)時,老師講解坡印廷矢量時也談到了電能傳輸,課后大家有過一次討論,討論題是這樣的:
對于某配電系統,從變壓器開始一直到眾多的最終用戶,中間有許多電纜和電線,電能的傳輸當然是通過這些電纜和電線輸送的。如果此時某處的相線對地線發生短路,于是就出現了漏電。這個漏電如何用坡印廷電能傳輸理論解釋?
當時討論的要點在于:
第一:漏電處并不一定是導線,可能是潮濕的地下土壤,然后是地下的鋼筋網,以及其它導電材料。這些材料和坡印廷矢量有何種關系?它們是如何束縛住電磁波的?
第二:從坡印廷矢量中可以隱隱約約地看到電阻的作用,并且暗示我們可以從麥克斯韋理論得到歐姆定律(歐姆定理)。那么從坡印廷電能傳輸理論來看漏電電流所經過之處的電阻是何種景象?
這兩個問題反饋給知友們,供大家思考。必要時,我會作答。
看到評論區對于水來類比電現象,提出了許多看法。我談談我的個人理解:
記得在中學時代,老師的確也用水來類比電現象。但進入大學課堂后,這種類比幾乎絕跡。進入職場后,用水來比喻電現象,再也聽不到了。因為電現象有自己的規律,這種規律根本就無法用水來描述。
現在,我有一部分的工作任務是教書。在講解麥克斯韋電磁力時,我會問學生們:你們還會用水來類比電磁現象嗎?大家異口同聲說不會,因為兩者相差太遠。倒是對磁通的研究會拿電流來類比,而且也有基爾霍夫第一和第二定律,以及磁路的歐姆定律等等。
我看過德國的中學物理學課本,這些課本中絕對不會出現用水來比喻電現象的文字。但其它國家就難說了。某次在ABB和一位來自印度的大胡子哥們探討自控原理,他還是用水來形容電現象,我就故意引導他往深處探討,幾句話后他的水理論就無法繼續下去了。于是他也承認,用水來比喻電現象不是很合適。
我的做法是:愿意用水來比喻電現象,就如同用零線的概念來代替三相中性線一樣,盡管不合適,但已經無法糾正了。所以,愿意用就用吧,只要我自己不用就行了。
有點阿Q是不是?笑!
康讓:
電磁波的傳播的確不需要介質,但不表示電磁波本身不需要介質來產生啊。
雙導線中每根導線上的時變電流都會單獨產生時變電磁場,然后和另一根導線產生的時變電磁場進行疊加:雙導線之間場強正向疊加,雙導線之外場強反向抵消。所以電磁波主要沿著雙導線之間在傳播,看起來像是被束縛了。
其實所謂的束縛這個詞,只是對數學語言的通俗化理解。換言之,我們用“束縛”這一個詞就輕易的理解了一大堆復雜的數學公式。
電磁波這個詞,同樣也是對數學語言的通俗理解。世上哪有什么電磁波,誰看見過?只是對純理論的通俗表達,只是對生硬的數學關系的腦補理解。只是知識傳遞到后來電磁波到好像成為一個獨立的、客觀的像水波一樣的事實存在。
我們建立科學理論的目的,正是為了更好的擬合、理解這個世界。而任何理論,只有通過自然語言才能得到真正的最終的理解。所以我們才需要傳導、束縛、電磁波這樣的自然語言來理解理論,進而間接的理解世界。
有句話說的好:
人有時候走的太遠,會忘了為何而出發。。。
LoserWu:
簡單來說。。大部分的電路中的電磁場不具備在空間中傳播的條件。

(原諒我直接從百度百科找圖)可以看出來,電磁場要傳播,電場磁場都必須無窮階對時間可導。(特指在空間中傳播,此時沒有電流密度j。可是,大部分電路是直流電路,這個時候電流大小方向不變。然后請讓我祭出物理系版本的歐姆定律j=γE(不要在意細節,總之直接認為電流與電場強度成正比就好,其實高中版本歐姆定律也可以推出來?)然后就發現電場恒定,自然沒辦法傳播。。那么這個時候電路中的電場到底是怎么樣的呢?

參考這張圖,先不考慮那個電阻。我們來想想電池兩邊接上導線,這個電場是怎么建立起來的。首先電源的正負級分別有很多正電荷和負電荷啦,然后就會在空間中產生一個電場。大概是這樣的

可以發現,這個時候導線里面的電子,感受到的電場都是朝一個方向的。。
那我們看看right bend那個地方。上下的電子都離rightbend遠去,顯然會在right bend處留下靜電荷。然后導線里面每個地方的電子都以類似的方式重新分布,最后達到一個平衡狀態。什么時候才能平衡呢?得達到電流處處相同才行,也就是(如果不考慮電阻)電場只沿導線,而且處處相同。不相同或者不沿導線的話,就會出現靜電荷積累,這個節點的入電流和出電流就不同了。平衡之后,就變成了這個樣子。

這個時候就只在導線表面存在凈電荷了。。然后電場垂直于導線表面,導線內部電場為零(如果認為導線沒有電阻的話。)重新再來看看之前的圖:

在有電阻的地方,因為電流要和其他地方相同(不然的話會有節點存在電荷積累,不能平衡)。而電阻的電導率γ是個有限的值,所以這個時候電阻內存在與導線平行的電場。。當然,這時電阻表面的電場也不會垂直于表面了,而有一個切向分量。
現在再來回答一下問題,能量確實是通過電磁波來傳遞的。為什么?如果能量是通過電子的動能來直接傳遞的話,電阻前后的電子速度一定會改變。可是我們之前說了,電路中電流一定要相同,而電流反映的就是電子的速度(I=nAvQ),所以電子速度在電阻前后沒有改變。正確的能量傳遞過程是,導線周圍的電磁場將能量輸運到電阻附近,在電阻內部產生了一個沿導線的電場,這個電場加速電子,電子獲得動能,傳遞給電阻。電子動能前后不變,只是作為電磁場傳遞能量的媒介。
那這個時候導線的作用是啥?此時的電磁場不具備空間傳播的條件,所以電磁場想要傳播,必須讓麥克斯韋方程組里面的電流密度j不為零。導線中有電流,電磁場才能依托著電流傳遞。
順便,其實對于某些特別的電路,是可以產生空間傳播的電磁場的。比如LC振蕩電路。
導線為什么能夠束縛住電磁波?
導線束縛的是電子。因為電子逃逸需要很高的能量,而導線一般電壓沒有達到足夠高。如果電壓足夠高,電子就會發射出來(想想光電效應,其實是一種輔助發射)。
電磁波具有能量,電磁波傳播不需要介質,那導線的作用是什么?
導線的作用就是束縛電子。
*************************************************************
導線傳遞能量靠電磁場,但傳遞的并不是電磁場,就是電子,只是靠電子之間的電磁場斥力依次推動,統計上來講,看到了電子在某一方向上的凈流動。
水管傳遞能量也是靠電磁場,但傳遞的不是電磁場,而是水分子,靠水分子之間的電磁場斥力依次推動,統計上來講,看到了水分子在某一方向的凈流動。
所以我認為張老師的回答是不正確的。
junior of HNU:

汪洋
按照費曼的說法:電磁波嘗試了所有路徑,發現沿著導線走“作用量路徑積分”最小,就選擇這條路了。
謝煙客 射頻工程師 專注基站功放及DPD
無論是直流導線還是微波的各種傳輸結構,他們可以總稱為波導。顧名思義就是導行電磁波的。要明晰一個概念,那就是無論頻率高低,電磁能量都是在波導內的介質中傳播,這個介質可以是空氣,其他材料抑或是真空。因此,直流電路中電磁能量也是在導線和參考平面間的介質中傳播。
shengeleven
補充一下我的見解。
差不多任何電磁學問題都可以歸結為在給定別解條件下求解Maxwell方程。
所以導線的作用是:為Maxwell方程提供邊界條件,即提供這組方程的應用場景。
上圖(取自維基百科):

圖中紅色為電場,綠色為磁場,藍色為Poynting矢量,即能流方向。
電源:Poynting矢量向外,所以能量是朝外傳播,并不是沿著電流方向。
導線:連接電源兩頭的導線具有電勢差,在兩根導線之間產生ExH的能量傳播。所以導線就相當于波導。
電阻:表面周圍產生向內的能流,能量被電阻吸收發熱。
總結,
1. 電磁能量不是通過導線傳播,而是在電路周圍的空間通過電磁場傳播;導線提供Maxwell方程組的邊界條件,導線的作用相當于波導。
2. 并不是動態電磁場才適用Poynting定理,靜態場同樣適用。
感覺看圖比我說的清楚。
木夏:
咦,神奇,不是叫波導嗎,難道說半年沒學光學名稱都變了。波導為何可以束縛光線,因為全反射。
為何要用波導,因為不可能做到發射完全平行光束,如果不給它們約束豈不是一會就發散沒了。而且不給約束它也不會拐彎啊,咋傳播信號。
菜瓜
導體在電磁能的傳輸過程中僅扮演引導者的角色,沿導體傳播的電磁能實際是經導體周圍的空間而不是導體內部流向負載。導體向前傳輸的能流集中在導線附近一有限橫截面內。
摘自電磁場與電磁波教材44頁(雷虹 余恬 劉立國編著)
陽洋
能束縛電磁波的導線我們一般叫做光纖......你沒搞清楚電場和電磁波的區別吧,如果你想說的是電場的話,電流的速度并不是導線中電子的速度,而是電場的傳播速度,也談不上束縛。
勝勛
導線為什么能夠束縛住電磁波?
錯。導線無法束縛電磁波。
電磁波具有能量,電磁波傳播不需要介質,那么導線的作用是什么?
其一,導線能提升傳播效率!有線電視效果比天線好。這就是證據。
其二,導線能傳導直流啊!
大衛德2015
張老師說的十分專業,但是個人覺得不夠直觀。
我認為用水理解電磁場是沒有問題的。眾所周知,電磁波是電磁場在空間傳播時的表現,本質上為波,這與我們在池塘投塊石頭引起的水波的傳播是相同的。在空間傳播的是波,但是水分子只是做上下的振動。同理,導線中電磁場是以光速傳播的,其引起的電子并不隨電磁場以光速傳播,只是以低速移動,從而產生損耗。
題主的問題是,電磁場不需要介質傳播,但是電子的移動是需要介質的。如果沒有導線,僅僅以真空做傳播路徑,那么電子無從移動。因此,導線的作用是為電子隨電磁場運動提供路徑。直觀上,可以從池塘水波切入理解,雖有不同但有助理解。
知乎用戶
不需要介質是一種傳播方式
不同截面形狀的導線是也是傳播方式
甚至連絕緣體(例如光纖)也是一種傳播方式
就像雖然你可以走路,但是仍然可以借助不同的交通工具。而且大多時候你會傾向于使用更省力的交通工具。導線的情況就像你被扔在一條高速公路上,不允許走路,只能乘坐汽車(導線)離開,然而汽車有不同的型號(不同的導線模式)。
遇到忽然剎車、加速、轉彎或者路面不平整還能把你甩出車去。成為輻射。
rylc:
看到這么多專業人士給出的答案居然是這樣我也震驚了。
如果題主說的是光纖,那么是因為全反射原理,很少損失能量所以能一直傳遞。
如果說的是普通電纜,那么電源之間產生的是電場,但只有導線里的電子才能在電場中(而不是因為電磁場)大量自由自動,所以產生了電流。周圍的空氣絕緣度很高,很難有自由電子,所以沒有電流。電流本質是電子定向移動,不是電磁場,更不是電磁波,雖然它能產生電磁場。
電場產生磁場,磁場也會產生電場,所以叫電磁場。變化的電場引起變化的磁場,而變化的磁場又能產生變化的電場,如此反復。如果變化幅度合適(比如正弦變化),那么就能產生可以持續傳播的電磁波。然而這個和剛才導線里的事情沒什么太大關系。
電磁場,電磁波,一個是場,一個是波,場的變化會產生波。
曹鍇源
因為電磁波到金屬里就會快速衰減,所以沒辦法穿透金屬,當然導體都可以,像水和土壤什么的,另外電磁波的衰減有很多種,也不一定非要金屬
導線,顧名思義,就是引導電磁波傳播的,比如波導和同軸線,你去看下內部場分布就明白了
小插頭理工男
傳輸線的作用就是起到邊界條件,使電磁波沿著傳輸線橫截面上形成一系列(駐)波模,有基模和各高次模,能量當然都集中在基模里啦,所以宏觀看來電磁波就沿著傳輸線傳播了
LX2017
誰說導線能束縛電磁波的?這是胡扯好么。
電流在導線中傳輸會有電磁波泄漏,傳輸的頻率越高泄漏越嚴重。
電磁波確實在真空中就可以傳輸,但導線必不可少。因為它給電磁波提供了一個低阻通道。電磁波頻率越低這個通道就越重要。


返回頂部
刷新頁面
下到頁底