中心距
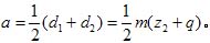
平行軸齒輪副或交錯軸齒輪副,兩軸線間的最短距離(圖6-16),亦即兩齒輪軸線間公垂線(連心線)長度稱齒輪中心距簡稱中心距。其值總等于齒輪副兩節圓半徑之和(a=r1′+r2′),或等于兩分度圓半徑與分離量之和(a=r1+r2+ym)。
連心線
在平行軸或交錯軸齒輪副中,兩軸線之間的公垂線稱連心線。連心線的長度即中心距。
名義中心距
實際齒厚為公稱值(理論計算值),無側隙嚙合條件下的齒輪副的中心距。亦即設計中心距,或稱理論中心距。
標準中心距
標準齒輪副在無側隙嚙合條件下,兩軸線間的最短距離(連心線長度),稱標準中心距(圖6-17)。高變位圓柱齒輪副的中心距與標準圓柱齒輪副的中心距相等。標準中心距的值分別為:
平行軸圓柱齒輪副![]()
交錯軸圓柱齒輪副
蝸桿副
標準安裝中心距
無側隙嚙合,并具有標準頂隙值,這種安裝條件的齒輪副中心距稱標準安裝中心距。中心距的通用計算式為:![]()
非標準中心距
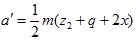
齒輪副中,至少有一個變位齒輪,在無側隙嚙合條件下,兩齒輪軸線的最短距離(連心線)稱非標準中心距,亦稱變位中心距。其數值等于a′=r1′+r″。對于高變位齒輪副,a=a′;平行軸圓柱齒輪副,
;對于交錯軸斜齒圓柱齒輪副,
;蝸桿副中心距
。
非標準安裝中心距
有側隙嚙合,頂隙不為標準值的條件下,齒輪副的中心距,稱非標準安裝中心距。非標準安裝中心距大于標準安裝中心距,兩者的嚙合參數也有所不同。a″>a ,r″>r′,a″>a′,c″>c,j″>j(“〃”表示非標準安裝)。非標準安裝中心距等于標準安裝中心距與中心距增量Δa之和。即:![]()
刀具的標準安裝
用齒條刀具或齒輪插刀加工齒輪時,若齒輪毛坯的分度圓與齒條刀具的基準線(圖6-18);或與插刀的分度圓分別相切,這時毛坯和刀具的相對安裝位置稱刀具的標準安裝。刀具標準安裝加工出來的齒輪是標準齒輪。
刀具的變位安裝
用齒條刀具展成齒輪時,若齒條的基準線(中線)與齒輪毛坯的分度圓(節圓)不相切,這時刀具相對毛坯的安裝位置稱刀具的變位安裝(圖6-19)。刀具基準線與毛坯分度圓的徑向分離量mx稱變位量,x稱變位系數。變位安裝切制成的齒輪為變位齒輪。
齒條標準安裝
齒條安裝一般是指,齒條刀具加工齒輪時齒條刀具相對毛坯的安裝。所謂齒條標準安裝即齒條刀具的中線和毛坯分度圓(節圓)相切的安裝位置,否則稱齒條非標準安裝。齒條標準安裝加工出來的齒輪是標準齒輪。非標準安裝加工出來的齒輪是變位齒輪。
插齒刀切制標準外齒輪不根切的最少齒數
插齒刀是一個變位齒輪,切制標準齒輪時,相當于一對角變位齒輪副,不發生根切的條件是:刀具的齒頂圓不應越過齒坯基圓上的嚙合極點N,即PB≤PN(或者N0B≤N0N)(圖6-20),于是可得:
式中,h*a0=h*a+x0,即插齒刀實際齒頂高系數。由上式可知,決定最少齒數zmin的關鍵因素是插齒刀的齒數。

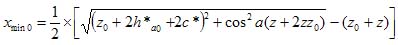
插齒刀加工外齒輪時的最小變位系數
用插齒刀切制外齒輪時,同樣可以采用徑向變位的方法避免根切。中心距a0增大,使刀具齒頂圓恰好通過嚙合極點N,這時,插齒刀分度圓與齒坯分度圓之間的距離稱最小變位量,亦即機床嚙合的分離量(圖6-21)。最小變位量除以模數所得的商稱最小變位系數xmin。由圖可導出:![]()
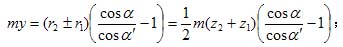
中心距變動量
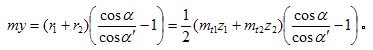
齒輪副在無側隙嚙合條件下,兩相嚙齒輪分度曲面在連心線上的分離量。即變位中心距a′與標準中心距a之差(圖6-22a)。

my=a′-a=Δa,對于外嚙合齒輪副,a′>a時my為正,這時兩分度曲面分離(圖6-22b);a′<a時my為負,這時兩分度曲面相交(圖6-22c)。內齒輪副則相反。于是可得:![]()
對于交錯軸圓柱齒輪副:
中心距變動系數
中心距變動量my除以模數所得的商;或中心距變動量my乘以徑節(以mm計)所得的積,稱中心距變動系數y。變動系數y的正負號由中心距變動量my的正、負號確定。
齒頂圓變動量
角變位齒輪副,在無側隙嚙合條件下,為了實現標準頂隙,需要對齒頂圓大小給予微量變動,這時頂圓半徑的變動值稱齒頂圓變動量Δmy。Δy稱齒頂圓變動系數。外齒輪Δym為負值,內齒輪Δmy為正值。于是角變位齒輪的齒頂圓半徑為 ra=r+h*am+mx+Δym。齒輪變位量、齒頂圓變位量、中心距變動量之關系為m(x1+x2)=ym+Δym,x1+x2=y+Δy。齒頂圓變動量僅影響齒頂圓半徑及齒頂高的大小,而不影響齒根高及齒根圓大小。
齒頂圓變動系數
齒頂圓變動量Δym除以模數m所得的商,或齒頂圓變動量乘以徑節(以mm計)所得的積。Δy的符號由σm確定。


返回頂部
刷新頁面
下到頁底