齒輪參數的計算_齒輪參數計算公式
節圓柱上的螺旋角:
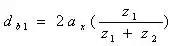
基圓柱上的螺旋角:
齒厚中心車角:
銷子直徑:
中心距離增加系數:
一、標準正齒輪的計算(小齒輪①,大齒輪②)
1.齒輪齒 標準
2.工齒齒形 直齒
3.模數 m
4. 壓力角
5.齒數
6.有效齒深
7.全齒深
8.齒頂隙
9.基礎節圓直徑
10.外徑
11.齒底直徑
12.基礎圓直徑
13.周節
14.法線節距
15.圓弧齒厚
16.弦齒厚
17.齒輪油標尺齒高
18.跨齒數
19.跨齒厚
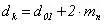
20.銷子直徑
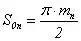
21.圓柱測量尺寸
(偶數齒)
(奇數齒)
其中,
二、移位正齒輪計算公式(小齒輪①,大齒輪②)
1.齒輪齒形 轉位
2.工具齒形 直齒
3. 模數
4.壓力角
5.齒數
6.有效齒深
7.全齒深
或
8.齒隙
9.轉位系數
10.中心距離
11.基準節圓直徑
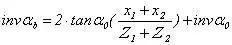
12. 嚙合壓力角
13.嚙合節圓直徑
14.外徑
15.齒頂圓直徑
16.基圓直徑
17.周節
18.法線節距
19.圓弧齒厚
20.弦齒厚
21.齒輪游標尺齒高
22.跨齒數
23.跨齒厚
24.梢子直徑
25.圓柱測量尺寸
(偶數齒)
(奇數齒)
三、標準螺旋齒的計算公式(齒直角方式)(小齒輪①,大齒輪②)
1.齒輪齒形 標準
2.齒形基準斷面 齒直角
3.工具齒形 螺旋齒
4.模數
5.壓力角
6.齒數
7.螺旋角方向
(左或右)
8.有效齒深
9.全齒深
10.正面壓力角
11.中心距離
12.基準節圓直徑
13.外徑
14.齒底圓直徑
15.基圓直徑
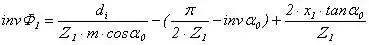
16.基圓上的螺旋角
17.導程
18.周節(齒直角)
19.法線節距(齒直角)
20. 圓弧齒厚(齒直角)
21.相當正齒輪齒數
22. 弦齒厚
23.齒輪游標尺齒深
24.跨齒數
25.跨齒厚
26.梢子直徑
其中,
27.圓柱測量尺寸
(偶數齒)
(奇數齒)
28. 齒隙
四、移位螺旋齒的計算公式(齒直角方式)(小齒輪①,大齒輪②)
1.齒輪齒形 移位
2.齒形基準斷面 齒直角
3.工具齒形 螺旋齒
4.模數(齒直角)
5.壓力角(齒直角)
6.齒數
7.螺旋方向
8.有效齒深
9.全齒深
10. 移位系數
11.中心距離
12.正面模數
13.正面壓力角
14. 相當正齒輪齒數
15. 齒直角嚙齒壓力角
16. 基準節圓直徑
17.外徑
18.嚙齒節圓直徑
19. 基圓直徑
20.基礎圓柱上的螺旋角
21.圓弧齒厚
22. 弦齒厚
23. 齒輪游標尺齒高
24.跨齒數
25.跨齒厚
26.銷子直徑
27.圓柱測量尺寸
(偶數齒)
注:齒隙 f=m 1.25 以下 0.025-0.075
m 1.25-2.5 0.05-0.10


返回頂部
刷新頁面
下到頁底