S7中定時時間由時基和定時值組成,定時時間為時基和定時時間設定值的乘積。時基也稱為定時器的計時單位,是定時器可以控制的最高精度(時間間隔)。定時時間也稱為計時范圍,是定時器的有效控制時間。
在定時器開始工作后,定時值不斷遞減,遞減到零時,表示時間已到,定時器會有相應的動作。
所謂的時基是時間基準的簡稱。定時時間設值是以3位BCD碼格式存放,位于定時器字的第0~11位。使用范圍是0~999。表給出時基與相應的定時范圍。
表 時基與相應的定時范圍
定時時間有兩種表達方式:
①十六進制數。定時器使用的時間值為BCD碼,給定時器賦值可以帶有時基格式。
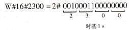
格式為:W#16# wxyz。其中,w是時間基準,xyz是BCD碼格式的時間值。設定值范圍為1~999。這里,時基越小,則分辨率越高;時基越大,則分辨率越低,但定時時間越長。例如,
表示時基為1s,定時時間為300×1 s的定時時間值,即300 s =5 min。
②S5時間格式。也可以直接使用S5中的時間表示裝入時間設定值,其格式為:
S5T#aH_bM_cS_dMS
其中,a表示小時,b表示分鐘,c表示秒,d表示毫秒。定時范圍為1MS~2H~46M~30S(1 ms~9990 s)。例如,S5T# 1H_13M_8S表示時間為1 h13 min8 s。這里時基是由CPU自行選定的,原則是在滿足定時范圍的要求下,時基單位根據設定時間值自動選擇滿足定時范圍的最小時基。
③設定時間的裝載。S7-300/400的定時時間設定需要通過S7的裝載指令L進行?梢杂脙煞N方法設定時間與選擇時間單位。允許設定的最大時間值為9990 s(2小時46分30秒)


返回頂部
刷新頁面
下到頁底