負載轉動慣量:
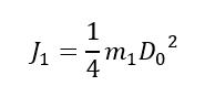
齒輪轉動慣量:
勻速力矩:
加速力矩:
力矩之和:
選型實例:
需要設計一套齒輪齒條傳動系統,行程3000mm,負載是一個機械手臂,重量2t左右,要求最大速度1000mm/s, 需要在4秒內走完全程。齒輪齒條傳動,齒輪模數4,和減速機直聯的驅動齒輪分度圓直徑72mm,承重機構為THK直線導軌SRG35。根據以上參數選擇合適的減速電機。
計算選型:
根據最大速度500mm/s, 需要在2秒內走完全程,可以得到如下運動參數:
假設加速度2m/s^2,加速過程0.5秒,勻速過程2.5秒,減速過程0.5秒,一共需要3.5秒。剩下0.5秒用作安全余量。
負載的轉動慣量:
傳動齒輪本身的轉動慣量:
這里帶入公式計算需要涉及傳動齒輪質量,傳動齒輪質量一般不大,這里估算300g,代入計算:
勻速運動的時候,所需要力矩:
假設摩擦系數0.1
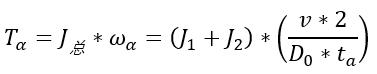
加速運動時所需力矩:
由上文速度曲線圖已知速度V=1m/s,加速時間ta=0.5秒
因此總力矩:
即所選電機減速機的峰值扭矩應該大于214.36Nm
電機的輸出功率:
假設傳動效率為80%,則電機功率
因此所選電機功率需大于7.45kw。
以上便是減速電機選型過程,如有不正確之處,請大家指正!


返回頂部
刷新頁面
下到頁底