BTL(Bridge-Tied-load)意為橋接式負載。負載的兩端分別接在兩個放大器的輸出端。其中一個放大器的輸出是另外一個放大器的鏡像輸出,也就是說加在負載兩端的信號僅在相位上相差180°。負載上將得到原來單端輸出的2倍電壓。從理論上來講電路的輸出功率將增加4倍。BTL電路能充分利用系統電壓,因此BTL結構常應用于低電壓系統或電池供電系統中。在汽車音響中當每聲道功率超過10w時,大多采用BTL形式。BTL形式不同于推挽形式,BTL的每一個放大器放大的信號都是完整的信號,只是兩個放大器的輸出信號反相而已。用集成功放塊構成一個BTL放大器需要一個雙聲道或兩個單聲道的功放塊。
BTL基本電路如圖3-17所示。此電路的工作情況如下。

BTL電路工作原理圖

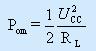
靜態時由于四個三極管對稱,UA=UB=UCC/2,因此uo=0。當輸入正弦信號ui為正半周時,在兩路反相輸入信號ui、-ui的作用下,VT1和VT4同時導通,RL上獲得正半周信號;ui為負半周時,VT2和VT3同時導通,RL上獲得負半周信號。理想情況下,設管子的UCES=0,則uo的峰值為UCC,輸出的最大功率為
比OTL電路提高了4倍。
實現兩路輸入信號反相可以有多種方案,例如可利用差動放大電路的兩個輸出端獲得,也可以利用單管放大電路從集電極和發射極獲得兩個極性相反的信號。
BTL電路綜合了OTL和OCL接法的優點,汲取了OCL無輸出電容的優點,避免了電容對信號頻率特性的影響,BTL電路可以使用單電源也可以使用雙電源。這些改進的措施使它逐漸成為當代功放電路的主流,并為功率放大電路的集成化創造了條件。


返回頂部
刷新頁面
下到頁底