一、 電磁場實驗定律的總結

變化的電磁場, 規律——推廣; 方程——修正。
變化的磁場:產生感生電場(渦旋電場) 麥克斯韋提出
感生電場的場方程:

一般情況:空間總電場

變化磁場:產生渦旋電場。------麥克斯韋關于電磁理論的一個假設。
電場的概念加以推廣,靜電場的方程要加以修正。

變化電場:是否要產生磁場?磁場的方程是否要修正?
二、位移電流
靜磁場的安培環路定理不適用于非穩恒情況
麥克斯韋提出:變化的電場——等效為一種電流(位移電流)——產生渦旋磁場。這是麥克斯韋關于電磁理論的第二個基本假設。
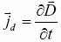
位移電流密度:
![]()
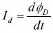
位移電流強度:
![]()
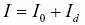
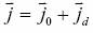
全電流密度:
![]()
全電流
![]()
位移電流與傳導電流比較:
相同處:按同一方式激發磁場(渦旋磁場)。
區別:(1)、前者取決于電場的變化,后者由電荷的宏觀移動引起。
(2)、前者可以在導體、介質、真空存在;后者在導體中通過。
(3)、前者無焦耳熱;后者有焦耳熱。
磁場的概念推廣了,方程加以修正:
高斯定理:
![]()
環路定理:
![]()
三、麥克斯韋方程組
1、積分形式

2、微分形式
以上方程中既有電學量又有磁學量,說明隨時間變化的電場和磁場是不可分割地聯系在一起的;若場矢量不隨時間變化,則方程就分成兩組獨立的方程,一組為靜電場方程,一組為靜磁場方程。

3、麥克斯韋方程組的物理意義:
a、通過任意閉合面的電位移通量等于該曲面所包圍的自由電荷的代數和。
b、電場強度沿任意閉曲線的線積分等于以該曲線為邊界的任意曲面的磁通量對時間變化量的負值。
c、通過任意閉合面的磁通量恒等于零。
d、磁場強度沿任意閉合曲線的線積分等于穿過以該曲線為邊界的曲面的全電流。
物理學家費曼認為,麥克斯韋方程是一座漂亮大廈,以上方程形式美,但并不完全對稱,不對稱的根本原因是自然界存在電荷卻不存在磁荷。磁單極子不存在。
4、麥克斯韋方程組在電磁學中的地位
電和磁現象的最初發現,可以追溯到很古老的歷史,但直到十九世紀,麥克斯韋才在前人成就的基礎上把各種試驗規律總結提高并加以發展,成為以麥克斯韋方程為中心的完整的理論體系。麥克斯韋方程組在電磁學的地位和作用與牛頓運動定律在經典力學中的地位和作用相當。
5、適用范圍:
麥克斯韋電磁場理論是從宏觀的電磁現象總結出來的經驗定律,和牛頓經典力學一樣只在宏觀試驗所能達到的范圍內適用。高速領域——麥克斯韋方程仍正確。可用它來研究高速運動電荷所產生的電磁場及一般輻射問題。微觀領域——麥克斯韋方程不完全適用。羅倫茲把它推廣到分子和原子的微觀領域,創立了電子論,對電磁現象作了微觀解釋,取得了一些成績,但也遇到了不可克服的困難,因而現代發展了更普遍的量子電動力學。
宏觀電磁理論可以看作量子電動力學在某些特殊條件下的近似規律,正象牛頓經典力學是相對論力學在低速下的近似規律一樣,都是在一定條件下的相對真理。


返回頂部
刷新頁面
下到頁底