為了實現信息的無線傳輸,任何無線發射電路都需要一定的發射功率,這一用于使待發射高頻信號具有一定功率的電路,就稱為高頻功率放大電路。
1、按輸出功率分類
(1)小功率射頻功放
《微功率(短距離)無線電設備管理暫行規定》附件所列的各項微功率無線電設備,其無線發射功率一般都在1W以下,這些設備所包含的射頻放大電路即屬于小功率射頻功放。
(2)大功率射頻功放
移動電話基站的發射功率約幾十瓦,一個城市的電視信號發射功率達到幾kW,省級廣播電臺的發射功率在幾kW至幾十kW之間。此外,微波通信中繼站、雷達站等都屬于大功率射頻功放的范圍。
2、按功放電路的負載分類
(1)窄帶功率放大電路
以選頻網絡為負載的功放電路,稱為窄帶功率放大電路。
只有頻率等于LC回路諧振頻率的成分才被有效地放大。以LC回路為負載的功率放大電路具有頻率選擇性,因此也稱選頻放大電路。
優點:
選頻作用可來抑制干擾。
缺點:
非線性失真比較大。
LC選頻網絡中心頻率的調節也不方便。
(2)寬帶功率放大電路
以寬帶傳輸線變壓器為負載的,稱為寬帶功率放大電路

①傳輸線變壓器既是功放電路的負載,同時又起著將高頻信號傳輸到下一級的作用。
②傳輸線變壓器沒有選頻的作用,同時又有很好的頻率特性,其上限頻率可以擴展到幾百兆赫乃至幾千兆赫。
3、按功率放大管導通角分類
(1)甲類功放電路
在信號的正負半周,功放管始終處于導通狀態,這樣所組成的功放電路也就稱為甲類功放電路。處于甲類工作狀態的功放管,為了避免負半周時管子進入截止區而造成失真。處于甲類工作狀態的功放管,靜態時就有較大的電流通過。
(2)乙類功放電路
在信號的負半周截止,正半周時導通,就說功放管處于乙類工作狀態,這樣所組成的功放電路稱為乙類功放電路。處于乙類工作狀態的功放管,靜態是電流為零。
(3)丙類功放電路
功放管只在正半周的一部分時間內導通,信號負半周及正半周輸入信號幅度較小時均不導通,就說功放管處于丙類工作狀態,所組成的功放電路稱為丙類功放電路。處于丙類工作狀態的功放管,靜態時基極是負偏置的。
功放管在一個周期內的導通時間可以用相位角來表示。我們將管子導通時間一半所對應相位角定義為功放管的導通角θ。各類功放導通角如下:
(1)甲類功放電路
功放管在360°的時間內均導通,其導通角即為θ=360°/2=180°
(2)乙類功放電路
功放管正半周導通,導通角θ=90°
(3)丙類功放電路
功放管在正半周輸入信號較大時才導通,因此導通導通角θ< 90°
甲類、乙類和丙類功率放大電路也稱A類、B類和C類功率放大電路。
二、高頻功率放大電路的主要技術指標 1、頻率范圍
各項技術參數都符合要求的情況下功放電路的工作頻率范圍。
射頻功放模塊BGY916為例,工作頻率的最大值為960MHz,最小值為920MHz。

2、輸出功率Po
設一個射頻功放電路的輸出功率為P,定義P與1mW(或1W)比值的對數乘10為該電路以dBm(或dBW)為單位的功率值,該輸出功率的功率電平為
![]()
![]()
也可以根據功率電平值求出電路的絕對功率值,以dBm為例,設一功放電路的功率電平等于Px(單位dBm),則其絕對功率P等于

例如,電路功率電平Px=20dBm,代入上式,可求得其絕對功率為100mW。
3、效率η
功率放大電路的效率定義為輸出信號功率與電源供給功率之比。

式中Po為功放輸出信號功率,Pu電源提供的功率,效率的大小反映電源所提供的能量多大程度上被轉換為無線電波的能量。模塊BGY916效率的最小值為35%,典型值為40%。
三、C類諧振功率放大電路原理1、純電阻為負載的C類功率放大電路
電路結構:
三極管VT1被接成共射極電路,集電極負載是電阻RC,輸入信號ui經電容C1耦合加到基極和發射極之間,放大后的信號uo從集電極輸出。其特點是基極靜態電壓UBQ小于發射結開啟電壓Uon,即UBQ<Uon。
工作原理:
設輸入信號ui為余弦波,振幅為Uim,角頻率為ω
![]()
基極靜態偏置電壓為UBQ,加入信號電壓后,加在發射結之間的總電壓是交流信號ui和直流偏置電壓之和,因此基極-發射極間電壓為
![]()
式中UBQ是基極靜態電壓,Uim是余弦波的峰值
討論工作原理的做法是:求出輸入信號ui為余弦波時集電極負載電阻上的輸出電壓
(1)首先根據輸入信號求出集電極電流ic

uBE必須大于開啟電壓Uon 三極管才導通,也只有這時,集電極電流才不等于零,因此得出集電極電流曲線如圖所示。
(2)根據集電極電流ic求出集電極電壓uc
集電極電壓uc和集電極電流ic的關系是
![]()
由此即可畫出集電極電壓uc曲線如圖所示。
uC(t)為脈動性的電壓,顯然不符合功率放大的要求。
電路結構:
用LC并聯回路取代電阻Rc,所組成的電路稱為C類LC諧振功率放大電路。它由三極管VT1、LC并聯諧振回路、輸入信號耦合電容C1、基極偏置電壓UBQ和集電極偏置電壓VCC組成。
如何改善輸出電壓波形:
ic是周期性函數,可以分解為許多余弦波的疊加:![]()
第一項是直流分量,第二項為基波分量,其余為高次諧波。只有基波分量才是與輸入信號ui成正比的量。
![]()
選擇LC回路的諧振頻率等于基頻,含有多種頻率成分的電流iC(t)流經LC回路時,只有基頻才表現出最大的輸出電壓,因此,可以求得集電極交流信號電流為
![]()
集電極交流信號電壓等于交流電流與諧振阻抗RT的乘積,因此求得集電極輸出電壓
![]()
于是就實現了輸入余弦波信號的功率放大,可以畫出輸出波形如下。
脈動性電流經LC回路的選頻作用,形成正弦波交流電流

求解集電極交流信號峰值Ic1m
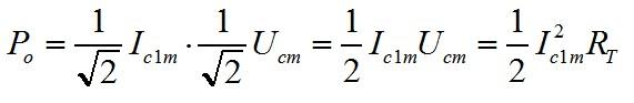
為了計算上述C類LC諧振功放的輸出功率和效率,需要求出基波分量ic的峰值Ic1m。
脈動性電流ic如圖所示,用Icmax表示脈動電流的峰值。通過LC回路的選頻作用,可從脈動電流中選出基波信號![]()
通過復雜的計算,可以證明, ic的峰值Ic1m與脈動電流峰值Icmax及導通角有關,它們之間的關系可以用下面的曲線來表示。
求解集電極交流信號峰值Ic1m
曲線α0表示直流分量Ic0隨導通角變化的情況
![]()
曲線α1表示基波分量Ic1m隨導通角變化的情況
![]()
曲線g1表示基波分量與直流分量比值Ic1m/Ic0隨導通角變化的情況

功放電路效率公式
放大電路信號輸出功率等于集電極信號電流有效值與集電極信號有效值的乘積,可以求得輸出功率Po為

Ic1m-基波電流分量振幅
另一方面,直流電源供給的功率PDC等于集電極直流分量Ic0與電源電壓VCC的乘積,即
![]()
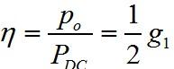
功率放大電路的效率η等于輸出功率Po和直流電源供給功率PDC之比,即

式中


功放電路效率與導通角之間的關系
設電壓利用系數ξ=1,則效率為

由圖可以求出以下關系:
θ=180°,g1=1,η=50%;
θ=90°,g1=1.57,η=78.5%;
θ=60°,g1=1.8,η=90%
由圖看出,波形系數g1隨導通角θ的增加而增加,θ=0時效率將達到100%。但注意輸出功率和α1有關, θ=0 時α1 =0,P0也等于零,因此θ宜取60°~70°。
上述LC諧振功率放大電路付諸實用,還需要解決以下兩方面問題:
(1)功放的直流饋電
為高頻功率放電路提供直流電源,并形成符合要求的基極和集電極靜態電壓,這部分電路稱為直流饋電電路。高頻功放直流饋電要比低頻放大電路復雜,饋電方式也較多,需要專門加以討論。
(2)濾波匹配電路
為了提高輸出功率,改善功放放電路的特性,還需要解決高頻功放與前后級的阻抗匹配問題,以LC并聯諧振回路為集電極負載,解決了選頻的問題,但還不能解決與后級實現阻抗匹配的問題。此外,功放電路與前級(例如振蕩電路內阻)也需要實現阻抗匹配,因此功放電路輸入端也需要接入符合要求的阻抗匹配網絡。


返回頂部
刷新頁面
下到頁底