在實際生活中經常會遇到同時輸入兩個或兩個以上編碼信號的情況。例如,同時按下計算機鍵盤上的兩個按鍵。如果計算機鍵盤內的編碼器是前面所講的普通編碼器,當同時按下兩個按鍵時,鍵盤內的編碼器將不能對這種輸入狀態進行編碼,會出現錯誤的信息。這種錯誤信息有時會出現致命的后果。為了使這種輸入狀態出現時編碼企業有確定的輸出信號輸出,便出現了優先編碼器。
優先編碼器允許同時輸入兩個以上的編碼信號,編碼器對所有輸入的信號規定了優先順序,當多個輸入信號同時出現時,只對其中優先級最高的一個進行編碼。
74LS148是集成8-3線優先編碼器產品,下面對該優先級編碼器的電路結構、工作原理及使用方法進行介紹。
圖1給出了8-3線優先編碼器74LS148的邏輯圖。
![]() |
| 圖1 8.3線優先編碼器74LS148的邏輯圖 |
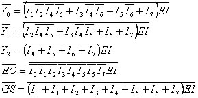
根據邏輯電路可以寫出輸出與輸入變量之間的邏輯函數式為
|
|
(1) |
從式(1)可以看出,當
=1時,編碼輸出端
、
、
均被鎖定在高電平狀態,只有在
=0的條件下,編碼器才能正常工作。故
為控制端,又稱選通輸入端,且為低電平有效。
根據式(1)可以列出優先那編碼器74LS148的邏輯功能,如表1所示。
表1 74LS148邏輯功能表
| 輸入 | 輸出 | ||||||||||||
| I0 | I1 | I2 | I3 | I4 | I5 | I6 | I7 | Y2 | Y1 | Y0 | |||
| 1 | × | × | × | × | × | × | × | × | 1 | 0 | 1 | 1 | 1 |
| 0 | 1 | 1 | 1 | 1 | 1 | 1 | 1 | 1 | 1 | 0 | 1 | 0 | 1 |
| 0 | × | × | × | × | × | × | × | 0 | 0 | 0 | 0 | 1 | 0 |
| 0 | × | × | × | × | × | × | 0 | 1 | 0 | 0 | 1 | 1 | 0 |
| 0 | × | × | × | × | × | 0 | 1 | 1 | 1 | 1 | 0 | 1 | 0 |
| 0 | × | × | × | × | 0 | 1 | 1 | 1 | 1 | 1 | 1 | 1 | 0 |
| 0 | × | × | × | 0 | 1 | 1 | 1 | 1 | 0 | 1 | 0 | 1 | 0 |
| 0 | × | × | 0 | 1 | 1 | 1 | 1 | 1 | 0 | 1 | 1 | 1 | 0 |
| 0 | × | 0 | 1 | 1 | 1 | 1 | 1 | 1 | 1 | 0 | 0 | 1 | 0 |
| 0 | 0 | 1 | 1 | 1 | 1 | 1 | 1 | 1 | 1 | 0 | 1 | 1 | 0 |
在表1中,符號“×”表示任意狀態(0或1,即輸入端有無信號)。從表1可以看出,優先編碼器74LS148的邏輯功能具有以下特點:
(1)控制端
=1時,無論輸入端有無信號,輸出端都被鎖定在高電平,編碼器不工作;只有當控制端
=0時,編碼器才能正常工作,所以控制端為低電平有效。
(2)編碼器輸出端
、
、
對應輸入端
~
的低電平狀態,即輸入端為低電平時認為該輸入端有編碼輸入信號,所以輸入端也是低電平有效。
(3)在
=0的狀態下,允許輸入端
~
中有多個輸入端為低電平狀態(即有編碼器輸入信號),但編碼輸出端在同一個時刻只對一個編碼輸入信號進行編碼輸出。即輸入端的編碼輸入信號具有優先級。從表5-5-3中可以看出,74LS148優先編碼器的輸入端中
的優先級最高,
的優先級最低。當
=0時,無論其他輸入端有無信號。輸出端只給出
的編碼,即![]()

=0,其他依次類推。
(4)只有當控制端
=0(編碼器處于工作狀態),且所有的編碼輸入端
~
都是高電平(即都沒有編碼輸入信號時)選通輸出端
為低電平。因此
=0表示編碼器工作,但輸入端沒有編碼信號輸入。因為
=0能確定編碼器的狀態,因此又稱選通輸出端低電平有效。
(5)當控制端
=0(編碼器處于工作狀態),且編碼器輸入端有編碼信號輸入(低電平)時,擴展輸出端
輸出低電平。因此
=0表示編碼器工作,且有編碼信號輸入。因為
=0能確定編碼器的狀態,因此又稱擴展輸出端低電平有效。
(6)從表1中可以看出,編碼器有3種![]()

=111的狀態,可以根據選通輸出
和擴展輸出
的狀態區分此時編碼器的工作狀態。
=0表示編碼器工作但沒有編碼信號輸入,此時![]()

=111;
=0表示編碼器工作且有編碼信號輸入,所以此時![]()

=111表示
=0的編碼;
=1且
=1編碼器沒有工作,此時![]()

=111。
圖2所示為優先編碼器74LS148的邏輯圖形符號。圖中輸入、輸出端靠近邊框的小圓圈表示低電平有效,且相應的字母符號上有一短畫線。
![]() |
| 圖2 74LS148邏輯符號 |
因為74LS148優先編碼器由8個編碼輸入信號、3個編碼輸出端信號,因此又稱為8-3線優先編碼器。





返回頂部
刷新頁面
下到頁底