扇區的分類與選擇:
根據下圖我們可以了解到三相逆變電路一共有6個開關管,由于不能形成短路,所以每兩個開關管可以構成一個組合,這樣的組合共有3個。

我們分別用字母A,B,C來代表該三組開關管。假設0表示上開關管閉合,下開關管斷開;1表示下開關管閉合,上開關管斷開。
因此這樣一共有8種組合形式,分別為:000,001,010,011,100,101,110,111
我們可以很容易看出當出現000或者111時,電路處于斷開的狀態,此時電路是輸出為0,因此有效的開關組合只有6種。以下分別列舉了6中開關狀態下的輸出相電壓與線電壓:

根據上表我們可知每種狀態可生成一個向量可組成一個正六邊形,將空間均分為6部分。具體如下圖所示:

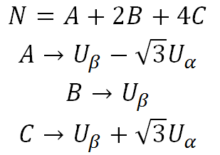
我們在正六邊形中做一個內切圓,其中圓的半徑就是該逆變器所能輸出的最大電壓。由于我們采用的是等幅值變換,故:

根據上圖可知:

故:

只要市網電壓的線電壓小于等于直流電源的電壓逆變器就可以正常工作。為了能夠確定任意時刻合成向量的位置,我們需要將向量空間進行劃分為6個區域,在每個區域內由區域的邊界向量作為基向量進行合成。為了確定合成向量的區域,我們采用三條經過原點的直線來判斷合成向量的位置。如下圖所示:

如上圖所示的三條直線L1,L2,L3可以用來判斷響亮所在區域。令


通過上表可知,經過判斷N的大小就可以確定合成向量目前所處的區間了。將上述的區間選擇方法用PSIM搭建硬件電路如下:


從V56到V61分別表示扇區I到扇區VI,我們可以從上圖看出,隨著時間的推移,合成向量依次經過I,II,III,IV,V,VI六個扇區,其仿真結果也是符合要求的。
合成向量的表示方法:
接下來就是我們通過控制開關管的開通順序來產生所需的向量了。目前常用的分為5段式和7段式兩種開關方式。但是考慮到散熱以及諧波問題,我采用了7段式開關導通方式。5段式開關方式雖然相對于7段式開關方式減少了三分之一的開關次數,但是由于一種開關狀態長期導通會導致開關管的散熱不平衡,每組中的兩個開關管使用頻率不平衡。同時,5段式產生的諧波含量較多并且諧波頻率較低,對后續的濾波要求較高。
除此之外,7段式可以有兩次產生的向量與要求向量重合,可以提高系統的準確型,而且高頻率的開關產生的諧波頻率較高相對容易剔除。盡管如此,5段式相對于7段式還存在一個顯著的優勢就是能量損耗。開關管的導通與關斷損耗占系統損耗相當大一部分,因此在降低開關管損耗方面的5段式明顯占優。綜上所述,我們三相逆變是為了并網對電壓質量要求較高,因此還是選擇了7段式。
以區域I為例,我們來分析一下7段式的具體開關操作:

由于開關模式000與111逆變器斷開,那么產生的電壓為0所以處于原點位置。
圖中的紅色線條的開關方式為:000,100,110,111,110,100,000。
藍色線條的開關方式為:111,110,100,000,100,110,111。
注意觀察上述開關方式我們可以發現,每次開關狀態發生調整基本上只改變了一組開關管并且做到了每個開關管開斷頻率平衡均勻散熱。
不妨我們采用紅色路徑,同理去分析其他區域的開關順序如下表:

開關管導通時間的計算:
目前我們已經解決了向量的表示問題以及開關管的導通順序,我們現在只需要通過計算每個管子的導通時間來產生想要的向量幅值及角度即可。我們仍然以區間I為例,計算當向量處于該區間時的開關管導通時間的計算。

假設開關管的導通信號PWM的周期為Tpwm。根據上圖可知,

根據上面我們的開關管導通順序可知在I區域導通順序為000,100,110,111,110,100,000。為了盡可能使每個開關動作時間均勻分布,我們采用以下開關導通時間分布:

同理,我們可以算出在其他區域時的開關時間:

觀察上表,我們可以發現,開通時間的表達式許多相同,因此我們可以通過條件判斷來選擇表達式。不妨令

那么上表就可簡化為:

如果其中兩個開關管導通方式的導通時間之和超過Tpwm,則就超出了逆變器可以輸出的范圍。因此,這種情況下需要進行調制如下所示:

將上述的開關管導通時間計算在電路仿真中進行驗證如下圖所示:

實驗結果及分析:

V53,V54,V55分別表示X,Y,Z的結果。由于合成向量在坐標系中做圓周運動,因此在坐標軸中的投影是一個正弦信號,所以每個開關狀態的導通時間也是一個隨時間變化的正弦信號。
開關管切換時間計算:
根據上述我們已經可以計算出三相逆變橋的開關管的導通順序以及每個狀態的開關時間。目前我們需要計算出每個扇區每個開關狀態的切換時間,也就是生成相對應的開關管的控制信號,該控制方式就被稱為SVPWM控制。
仍然以扇區I為例,我們可以根據上述得出開關管的導通時間。因此,在每個狀態的結束就是下個狀態的切換時間,假設A組管在扇區I的導通時間為PWMa,B組管在扇區I的導通時間為PWMb,C組管在扇區I的導通時間為PWMc,其余扇區以此類推。故:

根據上式以及上圖我們可以得出下述表格:

根據上述表格我們可以計算出每個開關管的導通狀態切換時間,但是為了能夠在準確的時間發出準確的信號,我們采用與三角波(必須是等腰三角形才能保癥準確的時間輸出相對應的電平)相比較的辦法實現。其中三角波頻率為40K,峰峰值電壓應該恰好等于Tpwm/2,保證其底角為45度。
根據上表可知每個扇區的開關管切換時間如何計算實現,因此將其轉化為硬件電路如下圖所示:

實驗結果:
在上述的理論計算與實際硬件電路的搭建過程中,我們完成了一個完整的SVPWM控制的三相逆變電路,仿真時間為0.2S。其結果如下圖所示:

**總結:**本根據上面的仿真我們可以看到逆變器在60ms后可以穩定輸出三相電壓。


返回頂部
刷新頁面
下到頁底