電橋一般分線式電橋和箱式電橋,其原理基本上是一樣的,就是一組接有好多電阻和電表的電路圖,當線路某兩個特定的接點的電勢相等時,就稱其平衡電橋,常用它來精確地測電阻。有平衡電橋與不平衡電橋兩種。
什么是非平衡電橋
在實際工程中和科學實驗中,很多物理量是連續變化的,只能采用非平衡電橋才能測量;非平衡電橋的基本原理是通過橋式電路來測量電阻,根據電橋輸出的不平衡電壓,再進行運算處理,從而得到引起電阻變化的其它物理量,如溫度、壓力、形變等。
非平衡電橋的橋路形式
1、等臂電橋
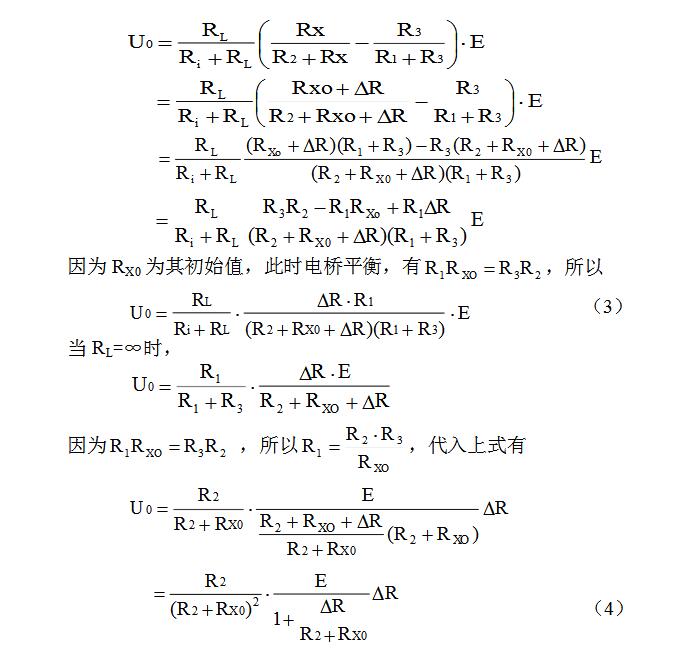
電橋的四個橋臂阻值相等,即R1=R2=R3=RX0;其中RX0是RX的初始值,這時電橋處于平衡狀態,U0=0。
2、臥式電橋也稱輸出對稱電橋
這時電橋的橋臂電阻對稱于輸出端,即R1= R3,R2= RX0,但R1≠R2
3、立式電橋也稱電源對稱電橋
這時從電橋的電源端看橋臂電阻對稱相等即

4、比例電橋
這時橋臂電阻成一定的比例關系,即R1=KR2,R3=KRX0或R1=K R3,R2=K RX0,K為比例系數。實際上這是一般形式的非平衡電橋。
非平衡電橋的輸出
非平衡電橋的輸出接負載大小分類又可分為兩種。一種是負載阻抗相對于橋臂電阻很大,如輸入阻抗很高的數字電壓表或輸入阻抗很大的運算放大電路;另一種是負載阻抗較小,和橋臂電阻相比擬。后一種由于非平衡電橋需輸出一定的功率,故又稱為功率電橋。
根據戴維南定理,圖1所示的橋路可等效為圖2(a)所示的二端口網絡。




什么是平衡電橋
當電橋中某兩個特定的接點的電勢相等,即此兩接點的電橋輸出為零時,就稱其平衡電橋
平衡電橋分類
電橋可以按照激勵方式分為直流平衡電橋和交流平衡電橋。
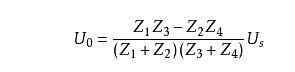
直流平衡電橋對于直流電橋來說,其輸出電壓為:
輸出電壓為:

由上式可見:若
,
則輸出電壓必為零,此時電橋處于平衡狀態,稱為平衡電橋。
因此,對于直流平衡電橋來說,平衡條件為: ![]()
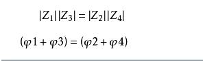
交流平衡電橋
對于直流電橋來說,其輸出電壓為:
輸出電壓為:

由上式可見:若
,則輸出電壓為零。對于交流電橋來說,Z是復數。
那么,交流電橋的平衡條件為:

可以表示為:

非平衡電橋與平衡電橋之間是什么區別
非平衡電橋與平衡電橋之間的關系是是非關系。工作在不平衡條件下的電橋是非平衡電橋,工作在平衡條件下的電橋是平衡電橋。
平衡電橋指兩臂中點電壓相同,為的是測試準確,精度較高。非平衡電橋相對簡單精度稍差。


返回頂部
刷新頁面
下到頁底