金屬電阻應變片應用于力學測量時,需要和電橋電路一起使用;由于應變片電橋電路的輸出信號微弱,采用直流放大器又容易產生零點漂移現象,故多采用交流放大器對信號進行放大處理,所以應變片電橋電路一般都采用交流電供電,組成交流電橋。根據讀數方法的不同,電橋又分為平衡電橋和不平衡電橋兩種。平衡電橋僅適合測量靜態參數,而不平衡電橋則適合測量動態參數。
由于直流電橋和交流電橋在工作原埋上相似,為了方便起見,下面僅就直流不平衡電橋進行介紹。
圖所示電路是輸出端接放大器的直流不平衡電橋的電路。第一橋臂接電阻應變片R1,其他三個橋臂接固定電阻。當應變片R1末發生應變時,由于沒有阻值變化,電橋維持初始平衡條件的R1.R4=R2.R3,因而輸出為零,即
UOUT=A(Rl.R4一R2.R3)=0
當應變片產生應變時,應變片產生△R1的電阻變化,電橋處于不平衡狀態,此時
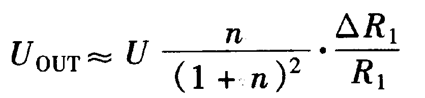
假設
,并考慮到電橋初始平衡條件
,省略去分母中的微量
,則上式可寫成為
從式中可以看出,輸出電壓正比于應變片發生應變時產生的電阻變化量A們。


返回頂部
刷新頁面
下到頁底