家裝,顧名思義就是家庭裝修。書上對家裝電工沒有明確的定義,因用電環境不合格造成家用電器漏電而發生傷人事故的也不少,所以我試著給家裝電工下個定義:所謂家裝電工,就是在家庭裝修的過程中,為戶主創建一個安全的用電環境的專職電工。
電工分類很細,大致分下:電力生產、電器設備(包括家用電器)的生產這一塊叫生產電工;電廠出來到變壓器這一塊叫高壓電工,一般印象里就是歸電業局管的;變壓器到電度表這一塊叫物業電工,電度表到屋里的插座和燈具這一塊叫家裝電工;電器設備(包括家用電器)的維護維修這一塊叫維修電工。(這是我自己的分法,)。
工作地點:戶主住宅
工作范圍:從電度表往屋里引線開始到插座燈具安裝完成結束
工作內容:電線管線槽等配件、電線、開關、插座、燈具的選購和安裝
安裝方式:暗敷或明敷,現在幾乎都是暗敷
理論方面,電磁感應及其應用、直流電交流電、電容電阻等電子學方面的理論知識家裝電工用不上。因為市電是交流220伏,不用考慮電源內阻,所以全電路歐姆定律都用不上,能用上的似乎只有電路識圖和不含電源部分歐姆定律了,也就是I=U/R。現在全部是暗敷,線路布在墻里,所以需要學些建筑方面的知識,比如掃尾工程中的搪灰找平和墻面粉刷,以恢復墻面的本來面目,這一點跟建筑電工有點類似。
供電線路分兩種:三相四線制和三相五線制。三相四線制是三根火線L(紅黃綠三色)一根零線N(藍線)。兩線制入戶,一根火線一根零線,火線進開關,連接插座或燈具,總結成口訣就是“火線零線兩根線,插座燈具兩終端”。零線不準安裝熔斷器及開關電器。三相五線制是在三相四線制的基礎上增加了一根保護地線(PE線,黃綠雙色)。三線制入戶,PE線一定要連到插座的PE端,確保連接良好。零線和地線分開敷設,不能共用同一根導線。兩線制有被三線制淘汰掉的趨勢。
動力電380V,照明電220V,除少部分高級住宅和別墅用的是380V三相四線制入戶外,絕大部分用的是市電220V交流電,50HZ。標準色是火線紅色,零線藍色,地線黃綠雙色。地線只能用黃綠雙色線,火線紅色不夠用時可以用其它顏色,零線盡量用藍色,如果用其它顏色代替的話,要在施工完成后畫的電路走向圖中標明,否則維修檢查時要用電筆判斷了。
動力電380V,照明電220V,除少部分高級住宅和別墅用的是380V三相四線制入戶外,絕大部分用的是市電220V交流電,50HZ。標準色是火線紅色,零線藍色,地線黃綠雙色。地線只能用黃綠雙色線,火線紅色不夠用時可以用其它顏色,零線盡量用藍色,如果用其它顏色代替的話,要在施工完成后畫的電路走向圖中標明,否則維修檢查時要用電筆判斷了。
一個開關控制一盞燈是最基本的也是最常用的線路
電工工具有很多,家裝電工用不上的就不說了,常用的工具列舉如下:
鉗子又叫鋼絲鉗,鉗口用來彎絞或鉗夾導線線頭,齒口用來擰緊擰松小螺帽小螺絲,刀口用來剪掉多余的電線和剝線頭。操作方法:右手握住鉗柄,小指伸在兩鉗柄中間,并抵住鉗柄以便張開鉗頭。使用中不能把鉗子當錘子用。
尖嘴鉗在狹小的空間操作方便,操作方法同鉗子。
起子又叫螺絲刀,改錐,分為一字起和十字起,主要用來擰緊擰松螺絲釘,螺絲釘上面的起子扣現在都是二合一的,兩種起子通用。起子大小不一,應根據實際情況選用,一字起還用來撬開86規格的開關插座燈頭的外蓋,十字起主要用來固定線頭,把線頭固定在接線柱上。要注意的是起子中有一種穿柄起子,是鉗工工具,可以用錘敲,其它的起子在使用中不能用錘敲!
剝線頭的方法很多,鉗子、尖嘴鉗、剝線鉗、斜口鉗、電工刀都能用。電工刀不絕緣,主要用來剝線頭,現在被美工刀淘汰。
盒尺又叫鋼卷子尺,用來測量尺寸,給開關插座燈頭定位,常用的規格有3米和5米。
畫線規,主要用于圓形燈具時畫線定位。水平尺主要用于成排的開關插座高度一致性的定位檢查。
電筆用于測量500V以下的電路,有鋼筆式、起子式、感應式、數顯式。以起子式電筆為例,大拇指和中指捏住電筆的上端,不能捏下面的金屬部分,食指指尖肚按在電筆頂端的金屬蓋上。接觸測量部位后,測量部位有電的話上端里面的氖管會發亮。
電筆的常用技巧:
一、區別直流電和交流電。測量帶電體時,氖管的兩個電極同時發光,說明是交流電。兩個電極只有一個發光,則是直流電。
二、區別火線和零線。測量交流電時,氖管發亮的是火線,不亮的是零線。
三、判斷直流電的正、負極。將測電筆接在直流電路中測試,氖泡發亮的那一極就是負極,不發亮的一極是正極。
四、判斷零線斷路。電筆接觸燈頭插座的兩個電極時,氖管都發光,燈泡不會亮,說明零線斷了。
五、測量火線是否碰殼。測試電氣設備的外殼,氖管發光,說明火線已經碰殼。
電錘用來在墻上打眼,以便安裝膨脹栓或膨脹螺絲。臉部朝上作業時要戴上防護面罩,鉆頭和墻面垂直,并經常拔出鉆頭排屑,防止鉆頭扭斷或崩頭。
彎管器用來電線管的彎曲,把彎管器穿入管子,一掰即可。弧度控制在線管直徑的10倍左右,以便于順利穿線或拆線。穿線器用來在電線管里穿線和拆線。
手動切割機用來在墻上開線槽,因為工作期間灰塵較大,所以開工前要戴上護目鏡和口罩,必要時戴面罩,做好勞動保護。一次成型開槽機看起來就是手砂輪上安個切割片,再加上個水冷卻而已。
在天花板上安裝吊扇、安裝吸頂燈、在靠近天花板的墻面上排線時要用上人字梯了,上下梯子時要保持三點接觸原則,即兩腳一手。
錘子,準備一把鴨嘴錘或羊角錘,明線方式固定線槽開關插座時,可以用鴨嘴錘和帶紅疙瘩小鋼釘(商品名射釘)來固定線槽開關插座。網線安上水晶頭后叫跳線,用于路由器、寬帶貓、主機之間的連接。跳線的制作要用上網鉗,網鉗分為單用、兩用、三用三種。4P壓接4芯線(電話接入線);6P壓接6芯線(電話話筒線rj11);8p壓接8芯線(網線rj45)。網線里有8根線,排序有兩個標準,一個是白綠、綠、白橙、藍、白藍、橙、白棕、棕;一種是白橙、橙、白綠、藍、白藍、綠、白棕、棕,施工中必須采用同一個標準,否則會出現連通性故障。
電纜準備工具又叫剝線刀,和網鉗配合使用。

跳線制作步驟:
一、剪取適當長度的網線。剪取長度要比實際長度要長一些。
二、將護套或線標套入網線,標記該網線。
三、剝線刀缺口向上,一手食指穿入圓環內,拇指和中指固定剝皮刀,另一手拿網線,在距離線端20mm處將網線從缺口推進,左右手配合輕推輕拉。
四、左手握住網線,右手食指穿在圓環內,沿順時針方向旋轉,將網線最外層的絕緣層割開,退下剝皮刀,掰動并撥下絕緣膠皮。
五、將8根線一一拆開、理順、捋直,然后按照規定的線序排列整齊。不能錯,不能亂。第1線和第2線、第3線和第6線、第4線和第5線、第7線和第8線必須分別是一個繞對(同一股線)。
六、把線盡量抻直、壓平、擠緊理順,然后用網鉗把線頭剪齊。如果外皮過長,可以剪短,保留14mm左右。
七、一手以拇指和中指捏住水晶頭,使有塑料彈片的一側向下,針腳一方朝向遠離自己的方向,并用食指抵住。另一手將8根導線同時沿水晶頭的8條線槽插入,一直擳到線槽的頂端。
八、準確無誤后,將水晶頭從無牙的一側推入網線夾槽后,用力握緊網鉗,交突出在外面的針腳全部壓入水晶頭內。
九、將護套套在水晶頭,按照相同的方法制好另一端的水晶頭,完成。
完成后要用網絡電纜測試儀測試一下,以確定是否有連接故障。
一、剪取適當長度的網線。剪取長度要比實際長度要長一些。
二、將護套或線標套入網線,標記該網線。
三、剝線刀缺口向上,一手食指穿入圓環內,拇指和中指固定剝皮刀,另一手拿網線,在距離線端20mm處將網線從缺口推進,左右手配合輕推輕拉。
四、左手握住網線,右手食指穿在圓環內,沿順時針方向旋轉,將網線最外層的絕緣層割開,退下剝皮刀,掰動并撥下絕緣膠皮。
五、將8根線一一拆開、理順、捋直,然后按照規定的線序排列整齊。不能錯,不能亂。第1線和第2線、第3線和第6線、第4線和第5線、第7線和第8線必須分別是一個繞對(同一股線)。
六、把線盡量抻直、壓平、擠緊理順,然后用網鉗把線頭剪齊。如果外皮過長,可以剪短,保留14mm左右。
七、一手以拇指和中指捏住水晶頭,使有塑料彈片的一側向下,針腳一方朝向遠離自己的方向,并用食指抵住。另一手將8根導線同時沿水晶頭的8條線槽插入,一直擳到線槽的頂端。
八、準確無誤后,將水晶頭從無牙的一側推入網線夾槽后,用力握緊網鉗,交突出在外面的針腳全部壓入水晶頭內。
九、將護套套在水晶頭,按照相同的方法制好另一端的水晶頭,完成。
完成后要用網絡電纜測試儀測試一下,以確定是否有連接故障。
電度表現在的規范叫法是電能表。單相電度表有兩種接法:一種是跳線式,火線進1出3,零線進2出4;一種是順線式,火線進1出2,零線進3出4,跳線式用得多些。常用規格有10(40)的和5(60),一般由電業局提供。
電度表的文字符號是PJ,圖形符號是
,

電度表的文字符號是PJ,圖形符號是
,
斷路器又叫空氣開關,具有短路保護、過載保護、失壓保護功能,也就是閘刀開關和插瓷保險二合一,上面標注的C10、C16、C20等表示這個斷路器的大小。一般情況下總開關要小于電表的最大允許電流,否則會出現電表燒了總開關也不會跳閘的現象。回路開關打開后的回路總電流要小于總開關的總電流,否則會出現回路開關不跳閘總開關光跳閘或者回路開關和總開關同時跳閘的現象。家用斷路器常用的規格有C10、C16、C20、C25、C32、C40。
斷路器的電氣符號:
斷路器的電氣符號:

漏電保護器,又名剩余電流動作保護器,簡稱RCD,可以分為以下三種:
第一 不帶過載、短路保護,僅有漏電保護的RCD,也稱為漏電開關,與熔斷器、熱繼電器配合可構成功能完善的低壓開關元件。
第二 帶過載保護、短路保護和漏電保護的RCD,也稱為漏電斷路器.。
第三 沒有過載、短路保護功能,也不直接分合電路,僅有漏電報警作用的RCD,也稱為漏電繼電器。
家庭裝修一般用漏電斷路器,電氣符號是:

插座用不用漏電斷路器,住宅設計規范GB 50096-2011規定:除壁掛式分體空調電源插座外,電源插座回路應設置剩余電流保護裝置。需要不需要安裝總漏電斷路器,住宅設計規范GB 50096-2011規定:每幢住宅的總電源進線應設剩余電流動作保護或剩余電流動作報警。
在實際應用中,有用的,也有不用的,這兩種方案都在使用中。衛生間濕度大容易漏電,特別是安有電熱水器的情況下。廚房里跟做飯相關的大功率電器較多,天天做飯天天接觸。出于安全方面考慮,為避免漏電產生的危險,所以這兩個地方必須使用漏電斷路器。
第一 不帶過載、短路保護,僅有漏電保護的RCD,也稱為漏電開關,與熔斷器、熱繼電器配合可構成功能完善的低壓開關元件。
第二 帶過載保護、短路保護和漏電保護的RCD,也稱為漏電斷路器.。
第三 沒有過載、短路保護功能,也不直接分合電路,僅有漏電報警作用的RCD,也稱為漏電繼電器。
家庭裝修一般用漏電斷路器,電氣符號是:

插座用不用漏電斷路器,住宅設計規范GB 50096-2011規定:除壁掛式分體空調電源插座外,電源插座回路應設置剩余電流保護裝置。需要不需要安裝總漏電斷路器,住宅設計規范GB 50096-2011規定:每幢住宅的總電源進線應設剩余電流動作保護或剩余電流動作報警。
在實際應用中,有用的,也有不用的,這兩種方案都在使用中。衛生間濕度大容易漏電,特別是安有電熱水器的情況下。廚房里跟做飯相關的大功率電器較多,天天做飯天天接觸。出于安全方面考慮,為避免漏電產生的危險,所以這兩個地方必須使用漏電斷路器。
配電電氣單元安柜里就是配電柜,安屏上就是配電屏,安箱里就是配電箱,安木板上就是配電盤,作用都是一樣的:分配電能、控制電器、保護電器。現在家庭用的是配電箱,配電盤是5(20)電表時代老房子用的,現在淘汰了。
樓宇住宅家庭一般總配電箱裝在樓道里,里面是各家各戶的電表和總開關。電表裝一起的叫電表箱,方便電業局抄表。總開關裝一起的叫開關箱,數量不一,按住宅的數量進行確定。進入客廳后再安個室內配電箱,用于日常使用,回路多的按需要可配置分配電箱。一般采用暗裝配電箱,隨土建施工預埋。室內配電箱的配電電氣單元由電源總閘單元、漏電保護單元、回路控制單元三個功能單元組成,分配電箱的配電電氣單元由漏電保護單元、回路控制單元二個功能單元組成。
照明配電箱的文字符號是AL,圖形符號是:
配電箱安裝標高是1800mm。安裝完成后用標簽標示出每個斷路器控制的是哪一條線路,這樣不但平常使用方便,也便于日后維修。
《建筑電氣工程驗收規范2011》相關規定:柜、屏、臺、箱、盤間配線:電流回路應采用額定電壓不低于 750V、芯線截面積不小于 2.5mm2 的銅芯絕緣電線或電纜;除電子元件回路或類似回路外,其他回路的電線應采用額定電壓不低于 750V、芯線截面不小于 1.5mm2 的銅芯絕緣電線或電纜。
照明配電箱(盤)安裝應符合下列規定:
主控項目
1. 箱(盤)內配線整齊,無絞接現象。導線連接緊密,不傷芯線,不斷股。墊圈下螺絲兩側壓的導線截面積相同,同一端子上導線連接不多于 2 根,防松墊圈等零件齊全;
2. 箱(盤)內開關動作靈活可靠,帶有漏電保護的回路,漏電保護裝置動作電流不大于 20mA,動作時間不大于 0.1s。
3. 照明箱(盤)內,分別設置零線(N)和保護地線( PE 線)匯流排,零線和保護地線經匯流排配出。
一般項目
1. 位置正確,部件齊全,箱體開孔與導管管徑適配,暗裝配電箱箱蓋緊貼墻面,箱(盤)涂層完整;
2. 箱(盤)內接線整齊,回路編號齊全,標識正確;
3. 箱(盤)不采用可燃材料制作;
4. 箱(盤)安裝牢固,垂直度允許偏差為 1.5‰;底邊距地面為 1.5m,照明配電板底邊距地面不小于 1.8m。插座分暗裝和明裝兩種,常見的插座有3孔、4孔、5孔、7孔和多用插座,還有帶開關的插座、防水插座等。分10A和16A兩種,10A是普通插座,16A為大功率插座。空調用3孔16A插座;有線電視不用機頂盒看不成,機頂盒和電視共用一個4孔10A的普通插座;10A五孔插座是最常用的普通插座,用于一般布線;床頭柜上的插座平時用于臺燈照明和手機充電,可用4孔或7孔插座;電冰箱洗衣機可用帶開關的插座;衛生間用防水插座;廚房大功率電器比較多,所以16A的大功率插座用得比較多;電腦的插頭比較多,一般用10A的多功能插座。
插座的文字符號是XS,圖形符號是:

電信插座(多媒體插座)符號是:
用下列文字符號區分:TP電話、PC電腦、TX電傳、TV電視、M傳聲器、FM調頻
插座豎向排列時為上火下零,橫向排列時為左零右火。因為裝修時都要鋪地板磚或木地板,所以插座的安裝尺寸指的是地面裝修完成后的安裝尺寸。一般情況下插座距門邊150mm~200mm,一般高度是1300m~1400m。距地面最低300m這個位置在日常生活的實際應用中用處不大,值得商榷。在住宅里插座安在這個位置的話一個使家具不能靠墻,家具還擋住了插座,不方便,再一個是家里有3歲以下的小孩的話,雖然插座上有安全防護板擋著里面的插孔,但是父母看到小孩的手往插座上伸的第一個動作就是制止,趕緊把小孩抱離插座,小孩還不愿意,開始鬧騰,看著安全實際上給小孩父母們的感覺是不安全。所以最低300mm的這個位置在家裝電工里建議不考慮。
空調插座的安裝高度是1800m到2000mm之間,分體式空調2000W以下用10A的普通插座,2000W以上的用16A的插座。柜機一般直接用空氣開關控制,不用插座。
電視柜的高度是根據正常收視的健康高度和電視的高度選擇的,以29寸的電視機舉例:29寸電視機機箱高度在600mm,柜子高度700mm,加起來就是1300mm。而測算下來的電視機屏幕中心到地面的高度尺寸大概在1100mm,這個高度尺寸正好符合正常收視的健康高度。另窗戶臺的高度是900mm,據此可以判斷出電視柜插座的高度是900mm~1100mm。電視、DVD、功放、家庭影院都放在電視柜上,所以這個地方的插座盡可能地多一些,也可以用多功能插座一網打盡。
床頭柜的高度是500mm~700mm,所以床頭柜上的插座高度是700mm~800mm,比床頭柜高100mm為好。床頭柜上的插座一般用來給手機充電、使用臺燈,手機充電器的插頭和臺燈的插頭都是兩頭的,而且床頭柜通常是兩個,放在床的兩邊,所以這個地方的插座可以考慮7孔插座或4孔插座,一個床頭柜一個,也可以根據實際需要增加插座數量。
現在帶開關的插座本身,開關、內部接線、插座一體化設計,不用操心開關插座之間的內部接線問題。接線有兩種方式:一種是開關控制插座,適用于洗衣機和電冰箱。洗衣服時開關打開,洗完后開關關閉,不用來回插拔洗衣機插頭。電冰箱除霜時關閉開關,平時開關處于打開位置。另一種是開關和插座各管各,互不影響。

2012年8月1日生效的《住宅設計規范》里規定:
住宅套內電源插座應根據住宅套內空間和家用電器設置,電源插座的數量不應少于表8.7.6的規定。

開關的種類很多,家裝電工里用的最多的一開、雙控開關、聲光控開關、防水開關,有條件的家庭還會用到觸摸開關、克林開關。聲光控開關一般用在樓道里,也可以用聲光控燈頭,聲光控開關現在正在逐步被紅外線開關取代。衛生間里如果浴霸帶有照明燈,可以用浴霸的照明燈做為主照明,否則就要考慮單獨安裝主照明。因為洗澡的原因,衛生間濕度大,所以開關必須使用防水開關。床頭柜上的開關有跟插座一起安的,有跟插座分開安的,以戶主使用方便為原則。
開關的安裝尺寸參考插座的安裝尺寸,開關的安裝高度一般跟成人肩膀同高。根據國家體育總局《2010年國民體質監測公報》顯示,20歲到34歲的平均身高是170cm,按170cm來算,一般1米7高的成年人肩膀高是150cm。有些說法是電源開關離地面一般在120厘米至135 厘米之間,后面又跟個(一般開關高度是和成人的肩膀一樣高),這個高度如果是肩膀高度的話,這個人只有150cm,顯然不是成年人的身高,這種說法有點自相矛盾,所以還是參照插座的高度標準,開關的安裝高度定在1300mm~1500cm。
住宅開關一般是控制主照明的開和關的,是控制開關,控制開關的文字符號是SA,圖形符號是:


樓宇住宅家庭一般總配電箱裝在樓道里,里面是各家各戶的電表和總開關。電表裝一起的叫電表箱,方便電業局抄表。總開關裝一起的叫開關箱,數量不一,按住宅的數量進行確定。進入客廳后再安個室內配電箱,用于日常使用,回路多的按需要可配置分配電箱。一般采用暗裝配電箱,隨土建施工預埋。室內配電箱的配電電氣單元由電源總閘單元、漏電保護單元、回路控制單元三個功能單元組成,分配電箱的配電電氣單元由漏電保護單元、回路控制單元二個功能單元組成。
照明配電箱的文字符號是AL,圖形符號是:
配電箱安裝標高是1800mm。安裝完成后用標簽標示出每個斷路器控制的是哪一條線路,這樣不但平常使用方便,也便于日后維修。
《建筑電氣工程驗收規范2011》相關規定:柜、屏、臺、箱、盤間配線:電流回路應采用額定電壓不低于 750V、芯線截面積不小于 2.5mm2 的銅芯絕緣電線或電纜;除電子元件回路或類似回路外,其他回路的電線應采用額定電壓不低于 750V、芯線截面不小于 1.5mm2 的銅芯絕緣電線或電纜。
照明配電箱(盤)安裝應符合下列規定:
主控項目
1. 箱(盤)內配線整齊,無絞接現象。導線連接緊密,不傷芯線,不斷股。墊圈下螺絲兩側壓的導線截面積相同,同一端子上導線連接不多于 2 根,防松墊圈等零件齊全;
2. 箱(盤)內開關動作靈活可靠,帶有漏電保護的回路,漏電保護裝置動作電流不大于 20mA,動作時間不大于 0.1s。
3. 照明箱(盤)內,分別設置零線(N)和保護地線( PE 線)匯流排,零線和保護地線經匯流排配出。
一般項目
1. 位置正確,部件齊全,箱體開孔與導管管徑適配,暗裝配電箱箱蓋緊貼墻面,箱(盤)涂層完整;
2. 箱(盤)內接線整齊,回路編號齊全,標識正確;
3. 箱(盤)不采用可燃材料制作;
4. 箱(盤)安裝牢固,垂直度允許偏差為 1.5‰;底邊距地面為 1.5m,照明配電板底邊距地面不小于 1.8m。插座分暗裝和明裝兩種,常見的插座有3孔、4孔、5孔、7孔和多用插座,還有帶開關的插座、防水插座等。分10A和16A兩種,10A是普通插座,16A為大功率插座。空調用3孔16A插座;有線電視不用機頂盒看不成,機頂盒和電視共用一個4孔10A的普通插座;10A五孔插座是最常用的普通插座,用于一般布線;床頭柜上的插座平時用于臺燈照明和手機充電,可用4孔或7孔插座;電冰箱洗衣機可用帶開關的插座;衛生間用防水插座;廚房大功率電器比較多,所以16A的大功率插座用得比較多;電腦的插頭比較多,一般用10A的多功能插座。
插座的文字符號是XS,圖形符號是:

電信插座(多媒體插座)符號是:
用下列文字符號區分:TP電話、PC電腦、TX電傳、TV電視、M傳聲器、FM調頻插座豎向排列時為上火下零,橫向排列時為左零右火。因為裝修時都要鋪地板磚或木地板,所以插座的安裝尺寸指的是地面裝修完成后的安裝尺寸。一般情況下插座距門邊150mm~200mm,一般高度是1300m~1400m。距地面最低300m這個位置在日常生活的實際應用中用處不大,值得商榷。在住宅里插座安在這個位置的話一個使家具不能靠墻,家具還擋住了插座,不方便,再一個是家里有3歲以下的小孩的話,雖然插座上有安全防護板擋著里面的插孔,但是父母看到小孩的手往插座上伸的第一個動作就是制止,趕緊把小孩抱離插座,小孩還不愿意,開始鬧騰,看著安全實際上給小孩父母們的感覺是不安全。所以最低300mm的這個位置在家裝電工里建議不考慮。
空調插座的安裝高度是1800m到2000mm之間,分體式空調2000W以下用10A的普通插座,2000W以上的用16A的插座。柜機一般直接用空氣開關控制,不用插座。
電視柜的高度是根據正常收視的健康高度和電視的高度選擇的,以29寸的電視機舉例:29寸電視機機箱高度在600mm,柜子高度700mm,加起來就是1300mm。而測算下來的電視機屏幕中心到地面的高度尺寸大概在1100mm,這個高度尺寸正好符合正常收視的健康高度。另窗戶臺的高度是900mm,據此可以判斷出電視柜插座的高度是900mm~1100mm。電視、DVD、功放、家庭影院都放在電視柜上,所以這個地方的插座盡可能地多一些,也可以用多功能插座一網打盡。
床頭柜的高度是500mm~700mm,所以床頭柜上的插座高度是700mm~800mm,比床頭柜高100mm為好。床頭柜上的插座一般用來給手機充電、使用臺燈,手機充電器的插頭和臺燈的插頭都是兩頭的,而且床頭柜通常是兩個,放在床的兩邊,所以這個地方的插座可以考慮7孔插座或4孔插座,一個床頭柜一個,也可以根據實際需要增加插座數量。
現在帶開關的插座本身,開關、內部接線、插座一體化設計,不用操心開關插座之間的內部接線問題。接線有兩種方式:一種是開關控制插座,適用于洗衣機和電冰箱。洗衣服時開關打開,洗完后開關關閉,不用來回插拔洗衣機插頭。電冰箱除霜時關閉開關,平時開關處于打開位置。另一種是開關和插座各管各,互不影響。

2012年8月1日生效的《住宅設計規范》里規定:
住宅套內電源插座應根據住宅套內空間和家用電器設置,電源插座的數量不應少于表8.7.6的規定。

開關的種類很多,家裝電工里用的最多的一開、雙控開關、聲光控開關、防水開關,有條件的家庭還會用到觸摸開關、克林開關。聲光控開關一般用在樓道里,也可以用聲光控燈頭,聲光控開關現在正在逐步被紅外線開關取代。衛生間里如果浴霸帶有照明燈,可以用浴霸的照明燈做為主照明,否則就要考慮單獨安裝主照明。因為洗澡的原因,衛生間濕度大,所以開關必須使用防水開關。床頭柜上的開關有跟插座一起安的,有跟插座分開安的,以戶主使用方便為原則。
開關的安裝尺寸參考插座的安裝尺寸,開關的安裝高度一般跟成人肩膀同高。根據國家體育總局《2010年國民體質監測公報》顯示,20歲到34歲的平均身高是170cm,按170cm來算,一般1米7高的成年人肩膀高是150cm。有些說法是電源開關離地面一般在120厘米至135 厘米之間,后面又跟個(一般開關高度是和成人的肩膀一樣高),這個高度如果是肩膀高度的話,這個人只有150cm,顯然不是成年人的身高,這種說法有點自相矛盾,所以還是參照插座的高度標準,開關的安裝高度定在1300mm~1500cm。
住宅開關一般是控制主照明的開和關的,是控制開關,控制開關的文字符號是SA,圖形符號是:


這是雙控單極開關的符號
雙控開關上面的接線柱一個連電源火線,另外一個連燈頭。下面的互相連接,有點像小學數學課上學過的1:2=2::4
雙控開關上面的接線柱一個連電源火線,另外一個連燈頭。下面的互相連接,有點像小學數學課上學過的1:2=2::4
開關和插座的明線安裝工藝是一樣的,安裝高度確定后用鉛筆定位,按鉛筆做的記號用電錘打孔,先安上塑料膨脹栓,再用木螺絲固定開關插座。想省事的話可以用紅疙瘩射釘加錘固定,也可以用塑料線卡,有條件的話可以用排釘槍或射釘槍。暗線安裝工藝大同小異,都是先連線后固定,不一樣的地方是開關連的兩根線都是火線,沒有先后之分;插座連線先連零線后連火線。
電線的選配是個難點,牽扯著家庭總負荷總電流和分支電路的分支電流的計算。家庭總負荷總電流和分支電路的分支電流的計算是電線選配的基礎,電線選配是電路設計的基礎,電路設計是住宅電氣工程設計方案的組成部分,家裝電工最終要形成獨立設計完整的住宅電氣工程設計方案的能力。按照電工安全操作規程,工作時現場必須有兩名電工,所以家裝電工必須要學會團隊合作,形成合作完成住宅電氣工程的能力。
電線是按電流大小進行選配的,電流的大小都是憑經驗公式進行估算,書上介紹的也是經驗公式,只說個大概。經驗公式很多,沒有明確的統一的方法,比較混亂,這就造成了初學者對于如何選配電線很是糊涂,不明不白,實際應用的時候放不開手腳。我分析了一下混亂的原因,列舉如下,不全之處請大家補充:
一、選擇電線的影響因素有環境溫度、天氣造成的后果(如下雨房子漏水)、冷卻條件、敷設條件、本身機械強度等,有考慮這些因素的,也有忽略不計這些因素的。
二、計算的時候電流密度取值不同。有按5A/mm2算的,也有按6A/mm2算的,有按8A/mm2算的。
三、計算的時候功率因數取值不同。有取值0.9的,取值0.8的,取值0.75的。
四、感性負載的計算公式不同。一般按I=P/Ucosφ計算,也有在功率因數后面加上公用系數的。公用系數有取0.5的;也有功率因數取0.75,公用系數也取0.75的。
五、負荷總電流計算方法不一樣,有取分支電流之和做為總電流的,有取分支電流之和再乘以0.8的,有取分支電流之和再加上20%做為余量為將來增加電器做準備的。
電線的選配是個難點,牽扯著家庭總負荷總電流和分支電路的分支電流的計算。家庭總負荷總電流和分支電路的分支電流的計算是電線選配的基礎,電線選配是電路設計的基礎,電路設計是住宅電氣工程設計方案的組成部分,家裝電工最終要形成獨立設計完整的住宅電氣工程設計方案的能力。按照電工安全操作規程,工作時現場必須有兩名電工,所以家裝電工必須要學會團隊合作,形成合作完成住宅電氣工程的能力。
電線是按電流大小進行選配的,電流的大小都是憑經驗公式進行估算,書上介紹的也是經驗公式,只說個大概。經驗公式很多,沒有明確的統一的方法,比較混亂,這就造成了初學者對于如何選配電線很是糊涂,不明不白,實際應用的時候放不開手腳。我分析了一下混亂的原因,列舉如下,不全之處請大家補充:
一、選擇電線的影響因素有環境溫度、天氣造成的后果(如下雨房子漏水)、冷卻條件、敷設條件、本身機械強度等,有考慮這些因素的,也有忽略不計這些因素的。
二、計算的時候電流密度取值不同。有按5A/mm2算的,也有按6A/mm2算的,有按8A/mm2算的。
三、計算的時候功率因數取值不同。有取值0.9的,取值0.8的,取值0.75的。
四、感性負載的計算公式不同。一般按I=P/Ucosφ計算,也有在功率因數后面加上公用系數的。公用系數有取0.5的;也有功率因數取0.75,公用系數也取0.75的。
五、負荷總電流計算方法不一樣,有取分支電流之和做為總電流的,有取分支電流之和再乘以0.8的,有取分支電流之和再加上20%做為余量為將來增加電器做準備的。
常用PVC電線管管徑16、20的一般用于室內照明線路;25的常用于插座或室內主線管;32的常用于進戶線的線管,有時也用于弱電線管;50、63、75的常用于室外配電箱至戶內的線管。
PVC電線管敷設的主要工序是:斷管、彎管、線管連接、線管敷設、穿線。
32mmn以下的管子切斷時用專用截管器、特制剪刀、鋼鋸都行,切斷后將管口修理平整。
32mm以下的用冷彎,方式有彈簧彎管和彎管器彎管,32mm以上的用熱彎。常用的PVC管連接器有三通、月彎、束節等,管子和管子的連接方法有管接頭或套管連接、插入法連接。
接線盒有鋼盒和塑料盒,鋼管配鋼盒,塑料管配塑料盒,兩者不能混用。pvc管與塑料接線盒的連接方法是:先將入盒接頭和入盒鎖扣堅固在盒壁,在插入段外壁周圍涂抹專用pvc膠水,用力將管子插入接頭,插入后不得隨意轉動,15S即可完成。
遇到下列情況之一時應增設接線盒:
1、管路長度超過30m,無彎曲。
2、管路長度超過20m,中間有一個彎曲。
3、管路長度超過15m,中間有兩個彎曲。
4、管路長度超過8m,中間有三個彎曲。
敷設時盡量減少彎曲,在地面敷設時線管用水泥砂漿進行保護。在墻面敷設時先開槽,開槽的寬度和深度均應大于管外徑的一倍以上,厚度必須保證管子的保護屋厚度,嚴禁在梁柱上開槽,開槽后將管子敷設在線槽里,用管卡固定。吊頂內敷設采用明管敷設,敷設在原始頂上,不得固定在平頂的吊架或龍骨上,接線盒的位置和龍骨錯開。
穿線前先穿入一根鐵絲,然后通過鐵絲把導線穿入電線管內。多根導線在穿入過程中不能有絞合,不能有死彎。必要時可先穿鐵絲后彎管,最后穿電線。
電線管與熱水管、蒸氣管同側敷設時,電線管在熱水管上面時跟熱水管的間距大于300mm,在熱水管下面時跟熱水管的間距大于200mm;電線管在蒸氣管上面時跟蒸氣管的間距大于1000mm,在蒸氣管下面時跟蒸氣管的間距大于500mm;蒸氣管外面有隔熱層的話,電線管在蒸氣管上面時跟蒸氣管的間距大于800mm,在蒸氣管下面時跟蒸氣管的間距大于300mm;電線管和水管間距大于100mm;電線管和燃氣管的水平間距不小于300mm。電線管和燃氣、暖氣、熱水管交叉時,間距不少于100mm。
PVC電線管敷設的主要工序是:斷管、彎管、線管連接、線管敷設、穿線。
32mmn以下的管子切斷時用專用截管器、特制剪刀、鋼鋸都行,切斷后將管口修理平整。
32mm以下的用冷彎,方式有彈簧彎管和彎管器彎管,32mm以上的用熱彎。常用的PVC管連接器有三通、月彎、束節等,管子和管子的連接方法有管接頭或套管連接、插入法連接。
接線盒有鋼盒和塑料盒,鋼管配鋼盒,塑料管配塑料盒,兩者不能混用。pvc管與塑料接線盒的連接方法是:先將入盒接頭和入盒鎖扣堅固在盒壁,在插入段外壁周圍涂抹專用pvc膠水,用力將管子插入接頭,插入后不得隨意轉動,15S即可完成。
遇到下列情況之一時應增設接線盒:
1、管路長度超過30m,無彎曲。
2、管路長度超過20m,中間有一個彎曲。
3、管路長度超過15m,中間有兩個彎曲。
4、管路長度超過8m,中間有三個彎曲。
敷設時盡量減少彎曲,在地面敷設時線管用水泥砂漿進行保護。在墻面敷設時先開槽,開槽的寬度和深度均應大于管外徑的一倍以上,厚度必須保證管子的保護屋厚度,嚴禁在梁柱上開槽,開槽后將管子敷設在線槽里,用管卡固定。吊頂內敷設采用明管敷設,敷設在原始頂上,不得固定在平頂的吊架或龍骨上,接線盒的位置和龍骨錯開。
穿線前先穿入一根鐵絲,然后通過鐵絲把導線穿入電線管內。多根導線在穿入過程中不能有絞合,不能有死彎。必要時可先穿鐵絲后彎管,最后穿電線。
電線管與熱水管、蒸氣管同側敷設時,電線管在熱水管上面時跟熱水管的間距大于300mm,在熱水管下面時跟熱水管的間距大于200mm;電線管在蒸氣管上面時跟蒸氣管的間距大于1000mm,在蒸氣管下面時跟蒸氣管的間距大于500mm;蒸氣管外面有隔熱層的話,電線管在蒸氣管上面時跟蒸氣管的間距大于800mm,在蒸氣管下面時跟蒸氣管的間距大于300mm;電線管和水管間距大于100mm;電線管和燃氣管的水平間距不小于300mm。電線管和燃氣、暖氣、熱水管交叉時,間距不少于100mm。
燈泡正在逐漸被淘汰,目前100W和60W的燈泡已經停產,買一個少一個,而且能用的地方越來越少了。樓道走廊用的聲光控開關照明電路只能用燈泡,不能用節能燈。家里如果是老媽做飯,建議廚房主照明使用60W燈泡,亮度高,老年人看得清。
老式日光燈家庭用得越來越少,現在基本上都用電子鎮流器日光燈,新潮一點的用LED日光燈。這三種日光燈的接線圖如下:
老式日光燈家庭用得越來越少,現在基本上都用電子鎮流器日光燈,新潮一點的用LED日光燈。這三種日光燈的接線圖如下:

節能燈已經代替了燈泡,燈泡燒了后直接換上節能燈就行了,不用動電路,十分方便。吸頂燈、壁燈、護眼燈用的都是節能燈,節能燈已經成為主流燈具。
LED照明是第四代光源,目前主要用于商業照明領域,因為技術上不成熟的原因,進入家庭照明領域的產品很少,我見過的有充電式LED手電筒、LED臺燈、LED節能燈、小夜燈。
小夜燈主要用于半夜需要起床的時候。家里有5歲以內小孩的話,特別是使用尿布的小孩,半夜發燒了、感冒了、尿床了、換尿布了、餓了喂奶的時候,都需要起來進行護理。5歲以內的小孩還怕黑,一關燈就不愿意,拱懷里也是害怕得睡不著。而小夜燈因為燈罩的保護,不刺眼,還能小范圍地看清周圍,看清小孩是足夠了,護理起來很是方便,還不影響睡眠,有個亮小孩睡得安生,父母也能睡個安生覺,所以也叫嬰幼兒兒護理燈。當然了,小孩大了就不用了,輪到老人半夜起床的時候用上了。電路改造根據電路設計圖施工,封槽之前繪制位置圖,設計電路圖要先算出家庭用電總負荷。用電總負荷的計算包括總功率的計算和總電流的計算。
總功率的計算
一、 確定每條分支線路都有哪些電器,確定哪些電器在同時使用,計算出不同使用情況下同時使用的電器共有多少功率,取最大使用功率做為該分路的分路功率。家用電器的銘牌上都有額定功率,計算方便,需要注意的有兩個地方:
1、 計算冷暖空調的時候不光要計算室內機的輸入功率,還要算上室外機的輸入功率,兩者的和才是空調回路的回路功率。
2、 太陽能熱水器有電加熱功能的,計算時要把電加熱的功率算進去,不要以為溫控儀費不了多少電就把電加熱給忘了。
二、 總功率的計算有兩個方法:第一個是分路功率之和乘以0.8,第二個是分路功率之和乘以120%,增加20%的余量做為將來增加電器之用。我偏向于第二個方法。
總電流的計算
一、計算分路電流。方法一:取分路功率的3.6倍。方法二:因為家用電器的功率因數具體數值的不確定,銘牌上也不顯示功率因數,所以就不考慮功率因數了,直接用歐姆定律來算。
二、計算總電流。直接用歐姆定律來算。總電流=總功率/220。 總負荷算出來了,就可以進配線,進行電路的線路設計了,包括強電部分和弱電部分。
強電部分
照明回路用電不多,主要是每個屋子的主照明,有的還有壁燈,吊扇一般是75W,可以并到照明回路里。陽臺必須要有照明,晚上晾衣服用。陽臺在哪個房間陽臺的照明就和哪個房間照明回路并在一起。有并成一路的,也有每個屋子一路,分成好幾路的,分成好幾路的目的是某一回路有故障了,不影響其它回路的照明。
強電插座回路在家具的尺寸和擺放位置和家電的尺寸和擺放位置都確定下來之后再進行設計,這樣就不會出現插座位置不對、家具把插座擋住了和插座不夠用的現象。除了空調回路,每個插座回路都要安一個到兩個插座做為備用,臨時用電用個一下半下的,設計原則是安全第一實用為上。
客廳的插座布置:家里有干鞋器的在鞋柜附近安個插座;電視柜上的家電較多,按插頭的數量配置插座,四眼插座為主,五眼插座為輔,也可以用118插座;電冰箱和洗衣機在客廳的兩者分開設計,使用帶開關的插座;沙發背景墻可以兩邊各安一個插座;大門是進出的門戶,大門旁邊安個插座備用,如果樓道沒燈,就從插座引線,自己安個聲控燈頭,裝上燈泡,使用方便;有條件的家庭可以考慮在餐廳安地插,吃火鍋方便。
客廳裝不裝雙控開關由戶主說了算,裝的話一個裝客廳,一個裝臥室,這樣睡覺的時候,不用黑燈瞎火地進臥室;也可以不裝,用一個1W的LED小夜燈插在客廳的插座上,10點睡覺的時候打開,6點起床后關閉,一個晚上八個鐘頭,算下來四個月一度電,功率可以忽略不計。
電腦用電單獨設一個回路,因為插頭多,所以平常用的是10A的多用插座。網線是弱電,連到無線路由器上的,無線路由器和電腦都在一張電腦桌上,要注意路由器要距離多用插頭20cm以上。電腦回路單獨設置有個好處就是萬一主照明不會亮了可以使用USB臺燈應個急,也可以在平時晚上玩電腦的時候使用USB臺燈,這樣就不用開主照明了。
一個空調設置一條回路,空調回路不能使用漏電斷路。柜機一般用斷路器直接控制,不使用插座。
臥室插座回路一般一個房間設置一路,陽臺在哪個房間陽臺的插座就并在哪個房間的插座回路上。陽臺設置兩個五孔插座,每個床頭柜一個四孔插座或七孔插座,用于手機充電和使用臺燈。臥室的照明使用雙控開關,冬天可以門口開燈床上關燈,或者床上開燈門口關燈,不用出被窩,所以有條件的話臥室能換成雙控開關的全部換成雙控開關。
衛生間的電器也比較多,可以考慮分電箱,專線控制,這樣一旦需要維修,不影響其它房間的用電。電熱水器一條回路;太陽能熱水器有電加熱功能的設置一條回路;浴霸一條回路,浴霸自帶照明燈的用自帶照明燈做為衛生間的主照明,沒有自帶照明燈的安裝防水開關控制主照明;浴霸自帶換氣功能的就不有安換氣扇了,沒有這功能的話要安換氣扇,冬天窗戶關死了,氣味不好聞,換氣扇就用上了,所以使用換氣扇的在窗戶附近安個插座;使用智能馬桶的在馬桶附近安裝插座;洗衣機放衛生間的給洗衣機配個插座。衛生間濕度太大,必須要用防水插座,其它地方需要裝燈的并到照明回路中,有條件的必須做局部等電位聯結,以進一步保護安全。
LED照明是第四代光源,目前主要用于商業照明領域,因為技術上不成熟的原因,進入家庭照明領域的產品很少,我見過的有充電式LED手電筒、LED臺燈、LED節能燈、小夜燈。
小夜燈主要用于半夜需要起床的時候。家里有5歲以內小孩的話,特別是使用尿布的小孩,半夜發燒了、感冒了、尿床了、換尿布了、餓了喂奶的時候,都需要起來進行護理。5歲以內的小孩還怕黑,一關燈就不愿意,拱懷里也是害怕得睡不著。而小夜燈因為燈罩的保護,不刺眼,還能小范圍地看清周圍,看清小孩是足夠了,護理起來很是方便,還不影響睡眠,有個亮小孩睡得安生,父母也能睡個安生覺,所以也叫嬰幼兒兒護理燈。當然了,小孩大了就不用了,輪到老人半夜起床的時候用上了。電路改造根據電路設計圖施工,封槽之前繪制位置圖,設計電路圖要先算出家庭用電總負荷。用電總負荷的計算包括總功率的計算和總電流的計算。
總功率的計算
一、 確定每條分支線路都有哪些電器,確定哪些電器在同時使用,計算出不同使用情況下同時使用的電器共有多少功率,取最大使用功率做為該分路的分路功率。家用電器的銘牌上都有額定功率,計算方便,需要注意的有兩個地方:
1、 計算冷暖空調的時候不光要計算室內機的輸入功率,還要算上室外機的輸入功率,兩者的和才是空調回路的回路功率。
2、 太陽能熱水器有電加熱功能的,計算時要把電加熱的功率算進去,不要以為溫控儀費不了多少電就把電加熱給忘了。
二、 總功率的計算有兩個方法:第一個是分路功率之和乘以0.8,第二個是分路功率之和乘以120%,增加20%的余量做為將來增加電器之用。我偏向于第二個方法。
總電流的計算
一、計算分路電流。方法一:取分路功率的3.6倍。方法二:因為家用電器的功率因數具體數值的不確定,銘牌上也不顯示功率因數,所以就不考慮功率因數了,直接用歐姆定律來算。
二、計算總電流。直接用歐姆定律來算。總電流=總功率/220。 總負荷算出來了,就可以進配線,進行電路的線路設計了,包括強電部分和弱電部分。
強電部分
照明回路用電不多,主要是每個屋子的主照明,有的還有壁燈,吊扇一般是75W,可以并到照明回路里。陽臺必須要有照明,晚上晾衣服用。陽臺在哪個房間陽臺的照明就和哪個房間照明回路并在一起。有并成一路的,也有每個屋子一路,分成好幾路的,分成好幾路的目的是某一回路有故障了,不影響其它回路的照明。
強電插座回路在家具的尺寸和擺放位置和家電的尺寸和擺放位置都確定下來之后再進行設計,這樣就不會出現插座位置不對、家具把插座擋住了和插座不夠用的現象。除了空調回路,每個插座回路都要安一個到兩個插座做為備用,臨時用電用個一下半下的,設計原則是安全第一實用為上。
客廳的插座布置:家里有干鞋器的在鞋柜附近安個插座;電視柜上的家電較多,按插頭的數量配置插座,四眼插座為主,五眼插座為輔,也可以用118插座;電冰箱和洗衣機在客廳的兩者分開設計,使用帶開關的插座;沙發背景墻可以兩邊各安一個插座;大門是進出的門戶,大門旁邊安個插座備用,如果樓道沒燈,就從插座引線,自己安個聲控燈頭,裝上燈泡,使用方便;有條件的家庭可以考慮在餐廳安地插,吃火鍋方便。
客廳裝不裝雙控開關由戶主說了算,裝的話一個裝客廳,一個裝臥室,這樣睡覺的時候,不用黑燈瞎火地進臥室;也可以不裝,用一個1W的LED小夜燈插在客廳的插座上,10點睡覺的時候打開,6點起床后關閉,一個晚上八個鐘頭,算下來四個月一度電,功率可以忽略不計。
電腦用電單獨設一個回路,因為插頭多,所以平常用的是10A的多用插座。網線是弱電,連到無線路由器上的,無線路由器和電腦都在一張電腦桌上,要注意路由器要距離多用插頭20cm以上。電腦回路單獨設置有個好處就是萬一主照明不會亮了可以使用USB臺燈應個急,也可以在平時晚上玩電腦的時候使用USB臺燈,這樣就不用開主照明了。
一個空調設置一條回路,空調回路不能使用漏電斷路。柜機一般用斷路器直接控制,不使用插座。
臥室插座回路一般一個房間設置一路,陽臺在哪個房間陽臺的插座就并在哪個房間的插座回路上。陽臺設置兩個五孔插座,每個床頭柜一個四孔插座或七孔插座,用于手機充電和使用臺燈。臥室的照明使用雙控開關,冬天可以門口開燈床上關燈,或者床上開燈門口關燈,不用出被窩,所以有條件的話臥室能換成雙控開關的全部換成雙控開關。
衛生間的電器也比較多,可以考慮分電箱,專線控制,這樣一旦需要維修,不影響其它房間的用電。電熱水器一條回路;太陽能熱水器有電加熱功能的設置一條回路;浴霸一條回路,浴霸自帶照明燈的用自帶照明燈做為衛生間的主照明,沒有自帶照明燈的安裝防水開關控制主照明;浴霸自帶換氣功能的就不有安換氣扇了,沒有這功能的話要安換氣扇,冬天窗戶關死了,氣味不好聞,換氣扇就用上了,所以使用換氣扇的在窗戶附近安個插座;使用智能馬桶的在馬桶附近安裝插座;洗衣機放衛生間的給洗衣機配個插座。衛生間濕度太大,必須要用防水插座,其它地方需要裝燈的并到照明回路中,有條件的必須做局部等電位聯結,以進一步保護安全。
廚房小家電種類繁多,按需選擇,系統搭配。最常用的有抽油煙機、電水壺、微波爐、電飯鍋、電餅鐺、電磁爐,整體櫥柜里的常用電器有洗碗機、消毒柜、垃圾處理器,冰箱嵌在整體櫥柜里。個性化的就千差萬別了,喜歡燒烤的有電烤箱;喜歡喝豆漿的有豆漿機;喜歡喝酸奶的有酸奶機;喜歡吃面包的有面包機;喜歡喝咖啡的有咖啡機;喜歡喝果汁的有榨汁機;不會煮雞蛋的笨笨有煮蛋器,不一而足。有些想一邊做飯一邊洗衣服的勤勞主婦們會把洗衣機也放在廚房里。
廚房是家電最多、最耗電的場所,跟衛生間一樣設置分配電箱進行專線控制。多大功率的電器是大功率電器沒有固定的說法,書上說習慣上是把1000W以上的電器叫大功率電器,我的習慣是把使用16A插座的電器叫大功率電器,大功率電器需要單獨設置回路,有幾臺同時在使用就設幾個回路。
10A以下的電器可以使用帶開關的插座,用開關控制插座,以避免頻繁插拔。抽油煙機單獨設置一條回路,燃氣熱水器一般安在廚房里,單獨設置回路,要跟燃氣灶一塊安裝燃氣泄漏報警器,以防萬一。整體櫥柜使用的電器根據家庭的使用要求不同極富個性化,設計櫥柜電器的布線時要跟整體櫥柜設計同步進行,這樣能夠準確定位,施工時不會返工。弱電部分
強電傳輸電能,弱電傳輸信號。家庭弱電最常用的是有線電視線、電話線、電腦網線,有家庭影院的還有音響線,可用于背景音樂,其它的弱電線路跟智能化小區的智能化水平不同而不同。家庭弱電和強電的間距國標是50cm,達不到這個條件的最低間隔20cm。有線電視線由有線電視的工作人員安裝,不用用戶操心。電話線由電話局工作人員施工,進入屋內,有單獨連座機的,也有用一進二出的分線盒,一個出線口連接座機,另一個出線口連無線路由器或寬帶貓。
電腦網線用來電腦上網。無線路由器已經進入千家萬戶,用于手機、筆記本電腦、平板電腦平時上網。用電話線上網的經分線盒連到無線路由器,無線路由器連到寬帶貓,寬帶貓連到主機網卡上,把路由器設置一下就行了。沒有用無線路由器的,網線直接連到寬帶貓上,需要安裝上相應的寬帶客戶端:聯通是寬帶我世界,電信是天翼寬帶客戶端,移動是中國移動融合寬帶客戶端,對客戶端進行設置后即可正常上網。用光纖上網要用到光貓,光貓連到路由器,路由器連電腦。也有光貓直接連電腦上的,配置完后重啟光貓就行了。
我對家庭光纖上網不熟悉,說錯的話請指正,先謝謝了。

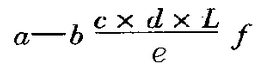
看系統圖要熟悉標注方式。
照明燈具的標注

a ————燈具數量
b ————燈具類型
c ————燈具內燈泡(燈管)數量
d ————每個燈泡(燈管)的功率
e ————燈具安裝高度
f ————安裝方式代號
L ————光源種類
導線的標注

a ————線路編號
b ————導線種類
c ————導線根數
d ————導線橫截面積
e ————敷設管徑
f ————敷設部位
用電設備標注格式

a————設備編號;
b————額定功率,kW;
c————線路首端熔斷片或自動開關脫扣器電流,A;
d————安裝標高,m。
電力和照明配電箱標注格式

當需要標注引入線規格時為:

a————設備編號
b————設備型號;
c————設備功率,kW;
d————導線型號;
e————導線根數;
f————導線截面,mm2;
g————導線敷設方式及部位。
開關及熔斷器標注格式

當需要標注引入線規格時為:

a——設備編號
b--設備型號;
c--額定電流,A;
i--整(鎮)定電流,A;
d--導線型號;
e--導線根數;
f—導線截面,mm2;
g--導線敷設方式及部位。
廚房是家電最多、最耗電的場所,跟衛生間一樣設置分配電箱進行專線控制。多大功率的電器是大功率電器沒有固定的說法,書上說習慣上是把1000W以上的電器叫大功率電器,我的習慣是把使用16A插座的電器叫大功率電器,大功率電器需要單獨設置回路,有幾臺同時在使用就設幾個回路。
10A以下的電器可以使用帶開關的插座,用開關控制插座,以避免頻繁插拔。抽油煙機單獨設置一條回路,燃氣熱水器一般安在廚房里,單獨設置回路,要跟燃氣灶一塊安裝燃氣泄漏報警器,以防萬一。整體櫥柜使用的電器根據家庭的使用要求不同極富個性化,設計櫥柜電器的布線時要跟整體櫥柜設計同步進行,這樣能夠準確定位,施工時不會返工。弱電部分
強電傳輸電能,弱電傳輸信號。家庭弱電最常用的是有線電視線、電話線、電腦網線,有家庭影院的還有音響線,可用于背景音樂,其它的弱電線路跟智能化小區的智能化水平不同而不同。家庭弱電和強電的間距國標是50cm,達不到這個條件的最低間隔20cm。有線電視線由有線電視的工作人員安裝,不用用戶操心。電話線由電話局工作人員施工,進入屋內,有單獨連座機的,也有用一進二出的分線盒,一個出線口連接座機,另一個出線口連無線路由器或寬帶貓。
電腦網線用來電腦上網。無線路由器已經進入千家萬戶,用于手機、筆記本電腦、平板電腦平時上網。用電話線上網的經分線盒連到無線路由器,無線路由器連到寬帶貓,寬帶貓連到主機網卡上,把路由器設置一下就行了。沒有用無線路由器的,網線直接連到寬帶貓上,需要安裝上相應的寬帶客戶端:聯通是寬帶我世界,電信是天翼寬帶客戶端,移動是中國移動融合寬帶客戶端,對客戶端進行設置后即可正常上網。用光纖上網要用到光貓,光貓連到路由器,路由器連電腦。也有光貓直接連電腦上的,配置完后重啟光貓就行了。
我對家庭光纖上網不熟悉,說錯的話請指正,先謝謝了。



看系統圖要熟悉標注方式。
照明燈具的標注

a ————燈具數量
b ————燈具類型
c ————燈具內燈泡(燈管)數量
d ————每個燈泡(燈管)的功率
e ————燈具安裝高度
f ————安裝方式代號
L ————光源種類
導線的標注
a ————線路編號
b ————導線種類
c ————導線根數
d ————導線橫截面積
e ————敷設管徑
f ————敷設部位
用電設備標注格式

a————設備編號;
b————額定功率,kW;
c————線路首端熔斷片或自動開關脫扣器電流,A;
d————安裝標高,m。
電力和照明配電箱標注格式

當需要標注引入線規格時為:

a————設備編號
b————設備型號;
c————設備功率,kW;
d————導線型號;
e————導線根數;
f————導線截面,mm2;
g————導線敷設方式及部位。
開關及熔斷器標注格式

當需要標注引入線規格時為:

a——設備編號
b--設備型號;
c--額定電流,A;
i--整(鎮)定電流,A;
d--導線型號;
e--導線根數;
f—導線截面,mm2;
g--導線敷設方式及部位。
照明平面圖要和照明系統圖結合起來看,系統圖看大局,平面圖看細節。看照明系統圖的目的是在腦子里對整個電路的輪廓要有個概念,照明系統圖的主要內容包括:
① 電源進戶線、各級照明配電箱和供電回路,表示其相互連接形式;
② 配電箱型號或編號,總照明配電箱及分照明配電箱所選用計量裝置、開關和熔斷器等器件的型號、規格;
③ 各供電回路的編號,導線型號、根數、截面和線管直徑,以及敷設導線長度等;
④ 照明器具等用電設備或供電回路的型號、名稱、計算容量和計算電流等。
平面圖主要看插座開關燈具的平面位置和電線的走向敷設方式,系統采用的接地保護方式及要求,核對系統圖與照明平面圖的回路編號、用途名稱、容量及控制方式(集中、單獨控制)是否相同。
照明位置圖忠實地記錄了電線的走向、開關插座在墻上的縱向位置、燈具電器在墻上或天花板上的位置,根據位置的不同可以分為天花圖和墻面圖。
實際接線圖又叫透視圖、斜視圖,也可以說就是電施圖,畫起來麻煩,但對讀懂圖卻有很大幫助。對于初學者來說,光看平面圖就能施工有點困難,這就需要把平面圖上的相關單元轉換成實際接線圖,再施工就容易了。
開工后家裝電工根據平面圖或電施圖進行施工,封槽前驗收時畫出電線走向圖、照明位置圖(天花圖、墻面圖),房子竣工驗收時所有的電路設計圖備份一份,一份交給戶主,一份存檔。舊房的家具一般不會怎么挪動,家電即使更新換代了,也不會怎么挪動,所以舊房電路改造前就可以提前規劃好電線的走向、開關插座的位置,新添電器的安裝等,比較方便。
① 電源進戶線、各級照明配電箱和供電回路,表示其相互連接形式;
② 配電箱型號或編號,總照明配電箱及分照明配電箱所選用計量裝置、開關和熔斷器等器件的型號、規格;
③ 各供電回路的編號,導線型號、根數、截面和線管直徑,以及敷設導線長度等;
④ 照明器具等用電設備或供電回路的型號、名稱、計算容量和計算電流等。
平面圖主要看插座開關燈具的平面位置和電線的走向敷設方式,系統采用的接地保護方式及要求,核對系統圖與照明平面圖的回路編號、用途名稱、容量及控制方式(集中、單獨控制)是否相同。
照明位置圖忠實地記錄了電線的走向、開關插座在墻上的縱向位置、燈具電器在墻上或天花板上的位置,根據位置的不同可以分為天花圖和墻面圖。
實際接線圖又叫透視圖、斜視圖,也可以說就是電施圖,畫起來麻煩,但對讀懂圖卻有很大幫助。對于初學者來說,光看平面圖就能施工有點困難,這就需要把平面圖上的相關單元轉換成實際接線圖,再施工就容易了。
開工后家裝電工根據平面圖或電施圖進行施工,封槽前驗收時畫出電線走向圖、照明位置圖(天花圖、墻面圖),房子竣工驗收時所有的電路設計圖備份一份,一份交給戶主,一份存檔。舊房的家具一般不會怎么挪動,家電即使更新換代了,也不會怎么挪動,所以舊房電路改造前就可以提前規劃好電線的走向、開關插座的位置,新添電器的安裝等,比較方便。
住宅電路的部分設計原則:
1、照明回路、插座回路分開,空調單獨設回路,大功率電器一臺設備設置一個回路。
2、1800mm以下的插座采用安全型插座。
3、衛生間應設置漏電斷路器,必須采用防水開關防水插座,采取必要的接地保護措施,有條件的要進行局部等電位連接。
2011版住宅設計規范里對住宅供電系統的設計的規定:
1 應采用TT、TN-C-S或TN-S接地方式,并應進行總等電位聯結;
2 電氣線路應采用符合安全和防火要求的敷設方式配線,套內的電氣管線應采用穿管暗敷設方式配線。導線應采用銅芯絕緣線,每套住宅進戶線截面不應小于10mm2,分支回路截面不應小于2.5mm2;
3 套內的空調電源插座、一般電源插座與照明應分路設計,廚房插座應設置獨立回路,衛生間插座宜設置獨立回路;
4 除壁掛式分體空調電源插座外,電源插座回路應設置剩余電流保護裝置;
5 設有洗浴設備的衛生間應作局部等電位聯結;
6 每幢住宅的總電源進線應設剩余電流動作保護或剩余電流動作報警。
電路設計圖獲得戶主認可后就可以施工了,購買電工電料時要有個電工電料明細表,盡量購買同一品牌,買回來后進行前期驗收,主要是材料驗收。在穿線完成、開關插座的暗盒固定之后,在泥瓦工進場之前進行中期驗收,以便發現問題,及時整改。插座開關安裝完成后進行尾期驗收,主要檢查開關插座的正常使用性能和安全性。達到入住條件后進行竣工驗收,整體驗收合格后簽字確認,提供配線施工圖。
我按照書上的說明和網上的模板設計了一張電工電料明細表,做為參考。這里只能發成圖片,只好轉換成圖片了,轉換成圖片的過程太麻煩了,看的時候只好將就點了。
1、照明回路、插座回路分開,空調單獨設回路,大功率電器一臺設備設置一個回路。
2、1800mm以下的插座采用安全型插座。
3、衛生間應設置漏電斷路器,必須采用防水開關防水插座,采取必要的接地保護措施,有條件的要進行局部等電位連接。
2011版住宅設計規范里對住宅供電系統的設計的規定:
1 應采用TT、TN-C-S或TN-S接地方式,并應進行總等電位聯結;
2 電氣線路應采用符合安全和防火要求的敷設方式配線,套內的電氣管線應采用穿管暗敷設方式配線。導線應采用銅芯絕緣線,每套住宅進戶線截面不應小于10mm2,分支回路截面不應小于2.5mm2;
3 套內的空調電源插座、一般電源插座與照明應分路設計,廚房插座應設置獨立回路,衛生間插座宜設置獨立回路;
4 除壁掛式分體空調電源插座外,電源插座回路應設置剩余電流保護裝置;
5 設有洗浴設備的衛生間應作局部等電位聯結;
6 每幢住宅的總電源進線應設剩余電流動作保護或剩余電流動作報警。
電路設計圖獲得戶主認可后就可以施工了,購買電工電料時要有個電工電料明細表,盡量購買同一品牌,買回來后進行前期驗收,主要是材料驗收。在穿線完成、開關插座的暗盒固定之后,在泥瓦工進場之前進行中期驗收,以便發現問題,及時整改。插座開關安裝完成后進行尾期驗收,主要檢查開關插座的正常使用性能和安全性。達到入住條件后進行竣工驗收,整體驗收合格后簽字確認,提供配線施工圖。
我按照書上的說明和網上的模板設計了一張電工電料明細表,做為參考。這里只能發成圖片,只好轉換成圖片了,轉換成圖片的過程太麻煩了,看的時候只好將就點了。
電工電料買回來驗收合格后開始布線,布線也叫排線,布線工藝分兩種:明線和暗線。明線一般用PVC線槽布線工藝,護套線布線工藝用得少些。暗線一般用電線管走線,走頂不走墻,走墻不走地,盡量利用預制板的孔洞走線。《砌體工程施工質量驗收規范》GB50203-2011中3.0.7規定:設計要求的洞口、管道、溝槽應于砌筑時正確留出或預埋,未經設計同意,不得打鑿墻體和在墻體上開鑿水平溝槽。寬度超過300mm的洞口上部,應設置過梁。 也就是說一般情況下只開豎槽不開橫槽,除非設計同意,是不允許開橫槽的。
PVC線槽布線工藝:
一、用電錘打孔,安上塑料膨脹栓,用手掰開蓋板,用木螺絲把底板擰入膨脹栓里,沒有電錘或沖擊鉆的時候,可以直接用水泥釘把底板釘在墻上,拐彎和分線的地方可以用陽角,陰角,三通。
二、在電源和插座處留夠線頭后把電線放底板里,扣上蓋板,放電線和扣底板同時進行,底板的接口和蓋板的接口要錯開。排燈線時零線不經過開關,直接連接燈頭和電源;火線必須進開關,開關處要留足夠的線頭。
三、線槽不夠長需要接續的時候按需要截取線槽,工具可以用美工刀,也可以用斜口鉗,底板和蓋板同時截取時可以用鋼鋸。
用護套線布線,可直接敷設在空心樓板內和墻面上,先用鉛筆和木匠用墨斗畫線定位,用鋼精扎頭或塑料線卡固定,線卡間距20cm,必須做到橫平豎直平服,布線時盡量收緊。在同一墻面上拐彎時,必須保持垂直。拐彎處彎曲半徑是護套線寬度的3到4倍,十字交叉時上下左右各安一個線卡。
一般要求:1、護套線在布線時如果不夠長,不允許線芯與線芯直接連接,而是采用接線盒、插座、開關等接線柱來連接。
2、護套線穿過梁、墻、樓板和跨越線路等處應有保護管,管子兩頭要各安一個線卡。跨越建筑物沉降縫的導線兩端應固定可靠,并在縫隙間留有適當余量。
3、不應直接埋入抹灰層內暗敷設及不得在室外露天場所明配敷設。
4、塑料護套線進入接線盒或與電氣器具連接時,護套線應引入盒內150-200mm。
暗線工藝的一般流程是劃線定位→開槽→安裝底盒→布管→穿線→中期驗收→封槽→燈具安裝→安裝開關面板和插座面板。劃線定位
根據設計圖紙上電線的走向進行劃線定位,傳統劃線工具有木匠墨斗,現代劃線工具有激光劃線儀、集測距放線于一身的激光測距儀,暗盒定位、明線開關插座的定位用盒尺和鉛筆。
傳統墨斗手動收線,不會自動收線,現在有會自動收線的墨斗,有使墨汁的,有使墨粉的。使用墨斗時一般用兩人進行彈線,墨斗要兩只。彈線時,兩個手里各拿一支,把兩只墨斗里的線連在一起。這樣,一人轉動墨斗上的輪子,使墨線的一端回墨,另一人手里的墨線,已經粘上墨汁,就可進行彈線。這樣,通過墨線的來往,就可以彈線了。這種彈線方法,既節約了時間,又避免了來回走動。
激光劃線儀又叫激光標線儀,特點是:投射出激光線寬度控制在6mm以內,只需220V電源,可使用于高溫環境中。使用激光劃線儀,要注意的是因為激光器是中等功率激光器,操作不當會對眼睛造成損傷,平時要對激光器的管理專人專責,使用時必須采取保護眼的安全措施,比如說根據激光器的波長,選用光密度合適的保護眼鏡。
開槽
確定開槽寬度:根據 PVC 管的管徑,進而確定槽的寬度。若選用 16mm 的 PVC 管,則開槽深度為 20mm ;若選用 20mm 的 PVC 管,則開槽深度為 25mm 。輕體墻橫向開槽不超過50cm;承重墻上不允許橫向開槽;內保溫墻橫向開槽不超過100cm。
開槽原則:
①路線最短原則;
②不破壞原有強電原則;
③不破壞防水原則。
施工規范要求橫平豎直,不按施工規范施工的話會出現以下問題:
1.操作時不按要求施工,所開的槽像蜘蛛網般,橫七豎八,雜亂無章,尤其是出現斜槽。后果就是曾經開過槽的墻上會出現裂縫,而且裂縫的范圍會逐漸向四處擴散。
2.所開槽深淺不一,不按要求進行,造成線管被埋入后薄厚不均,影響日后使用;同時,會影響墻面的平整度。
PVC線槽布線工藝:
一、用電錘打孔,安上塑料膨脹栓,用手掰開蓋板,用木螺絲把底板擰入膨脹栓里,沒有電錘或沖擊鉆的時候,可以直接用水泥釘把底板釘在墻上,拐彎和分線的地方可以用陽角,陰角,三通。
二、在電源和插座處留夠線頭后把電線放底板里,扣上蓋板,放電線和扣底板同時進行,底板的接口和蓋板的接口要錯開。排燈線時零線不經過開關,直接連接燈頭和電源;火線必須進開關,開關處要留足夠的線頭。
三、線槽不夠長需要接續的時候按需要截取線槽,工具可以用美工刀,也可以用斜口鉗,底板和蓋板同時截取時可以用鋼鋸。
用護套線布線,可直接敷設在空心樓板內和墻面上,先用鉛筆和木匠用墨斗畫線定位,用鋼精扎頭或塑料線卡固定,線卡間距20cm,必須做到橫平豎直平服,布線時盡量收緊。在同一墻面上拐彎時,必須保持垂直。拐彎處彎曲半徑是護套線寬度的3到4倍,十字交叉時上下左右各安一個線卡。
一般要求:1、護套線在布線時如果不夠長,不允許線芯與線芯直接連接,而是采用接線盒、插座、開關等接線柱來連接。
2、護套線穿過梁、墻、樓板和跨越線路等處應有保護管,管子兩頭要各安一個線卡。跨越建筑物沉降縫的導線兩端應固定可靠,并在縫隙間留有適當余量。
3、不應直接埋入抹灰層內暗敷設及不得在室外露天場所明配敷設。
4、塑料護套線進入接線盒或與電氣器具連接時,護套線應引入盒內150-200mm。
暗線工藝的一般流程是劃線定位→開槽→安裝底盒→布管→穿線→中期驗收→封槽→燈具安裝→安裝開關面板和插座面板。劃線定位
根據設計圖紙上電線的走向進行劃線定位,傳統劃線工具有木匠墨斗,現代劃線工具有激光劃線儀、集測距放線于一身的激光測距儀,暗盒定位、明線開關插座的定位用盒尺和鉛筆。
傳統墨斗手動收線,不會自動收線,現在有會自動收線的墨斗,有使墨汁的,有使墨粉的。使用墨斗時一般用兩人進行彈線,墨斗要兩只。彈線時,兩個手里各拿一支,把兩只墨斗里的線連在一起。這樣,一人轉動墨斗上的輪子,使墨線的一端回墨,另一人手里的墨線,已經粘上墨汁,就可進行彈線。這樣,通過墨線的來往,就可以彈線了。這種彈線方法,既節約了時間,又避免了來回走動。
激光劃線儀又叫激光標線儀,特點是:投射出激光線寬度控制在6mm以內,只需220V電源,可使用于高溫環境中。使用激光劃線儀,要注意的是因為激光器是中等功率激光器,操作不當會對眼睛造成損傷,平時要對激光器的管理專人專責,使用時必須采取保護眼的安全措施,比如說根據激光器的波長,選用光密度合適的保護眼鏡。
開槽
確定開槽寬度:根據 PVC 管的管徑,進而確定槽的寬度。若選用 16mm 的 PVC 管,則開槽深度為 20mm ;若選用 20mm 的 PVC 管,則開槽深度為 25mm 。輕體墻橫向開槽不超過50cm;承重墻上不允許橫向開槽;內保溫墻橫向開槽不超過100cm。
開槽原則:
①路線最短原則;
②不破壞原有強電原則;
③不破壞防水原則。
施工規范要求橫平豎直,不按施工規范施工的話會出現以下問題:
1.操作時不按要求施工,所開的槽像蜘蛛網般,橫七豎八,雜亂無章,尤其是出現斜槽。后果就是曾經開過槽的墻上會出現裂縫,而且裂縫的范圍會逐漸向四處擴散。
2.所開槽深淺不一,不按要求進行,造成線管被埋入后薄厚不均,影響日后使用;同時,會影響墻面的平整度。
暗盒的安裝
暗盒的選擇和安裝是最容易被忽略的,也是最不應該被忽視的,因為暗盒一旦壞了處理起來很麻煩,裝歪的話裝上開關插座后特別難看,一定要裝正。
暗盒有方形的和圓形的,常用的是方形86的,選擇方法:
一、尺寸精確,包括螺釘間距、標準大小的6分管、4分管接孔等。尺寸不夠精確的暗盒,可能造成開關插座安裝不牢固或暗盒內部漏漿(墻壁內的沙石滲入)。
二、采用防沖擊、耐高溫、阻燃性好、抗腐蝕的絕緣材料。
三、高質量的螺釘口。螺釘口最差地也得用金屬螺釘口,網上把金屬螺釘口叫小耳朵的比較多,全塑料的那種換不了幾個插座或開關螺釘口就不行了。干活不操心的話很容易損壞小耳朵,經常會有一個完好一個沒有的情況出現。
四、較大的內部空間。暗盒內部空間大,能減少電線纏結,利于散熱。
安裝:
1、先在預定的地方打出一個100mm*100mm,深600mm-700mm左右的坑槽,同時開出預埋線槽。
2、電線管進入暗盒時要安上入盒接頭和入盒鎖扣,鎖扣的主要目的是避免把電線拉破皮,管子切面比較鋒利,而鎖扣口是鈍的。穿線后把暗盒放入坑槽里。
3、在暗盒四周糊上水泥進行固定,將電線溝槽也用水泥覆蓋抹平。待水泥干后,再接上插座面板并粉刷墻壁。至此,施工完畢。
固定暗盒的方法有很多:水泥沙漿、發泡膠、做石膏陰角線用的石膏粉等。
1、最常用的是使用水泥沙漿進行固定,配比有1:1的,有1:2的,有1:3的,要保持與墻面的平整度。
2、用水性石膏粉,有的施工規范禁止此項工藝。
3、使用發泡膠。缺點是如果干不好的話會出現有的邊上不實在,安插座的時候勁大點,里面就會塌,需要重新返工。需要注意的是普通發泡膠不防火,存在消防隱患,出于消防安全上的考慮,建議使用B2級別以上的防火發泡膠,比如說防火門專用發泡膠。
裝修時有的會用到輕鋼龍骨墻,簡單地說就是用輕質鋼骨做骨架,外包水泥板和石膏板的一種墻,這種墻也可以叫夾心餅干。好處就是電線不用開槽,只要在設計好的地方將插座暗盒的孔挖出來就行了。
暗盒的選擇和安裝是最容易被忽略的,也是最不應該被忽視的,因為暗盒一旦壞了處理起來很麻煩,裝歪的話裝上開關插座后特別難看,一定要裝正。
暗盒有方形的和圓形的,常用的是方形86的,選擇方法:
一、尺寸精確,包括螺釘間距、標準大小的6分管、4分管接孔等。尺寸不夠精確的暗盒,可能造成開關插座安裝不牢固或暗盒內部漏漿(墻壁內的沙石滲入)。
二、采用防沖擊、耐高溫、阻燃性好、抗腐蝕的絕緣材料。
三、高質量的螺釘口。螺釘口最差地也得用金屬螺釘口,網上把金屬螺釘口叫小耳朵的比較多,全塑料的那種換不了幾個插座或開關螺釘口就不行了。干活不操心的話很容易損壞小耳朵,經常會有一個完好一個沒有的情況出現。
四、較大的內部空間。暗盒內部空間大,能減少電線纏結,利于散熱。
安裝:
1、先在預定的地方打出一個100mm*100mm,深600mm-700mm左右的坑槽,同時開出預埋線槽。
2、電線管進入暗盒時要安上入盒接頭和入盒鎖扣,鎖扣的主要目的是避免把電線拉破皮,管子切面比較鋒利,而鎖扣口是鈍的。穿線后把暗盒放入坑槽里。
3、在暗盒四周糊上水泥進行固定,將電線溝槽也用水泥覆蓋抹平。待水泥干后,再接上插座面板并粉刷墻壁。至此,施工完畢。
固定暗盒的方法有很多:水泥沙漿、發泡膠、做石膏陰角線用的石膏粉等。
1、最常用的是使用水泥沙漿進行固定,配比有1:1的,有1:2的,有1:3的,要保持與墻面的平整度。
2、用水性石膏粉,有的施工規范禁止此項工藝。
3、使用發泡膠。缺點是如果干不好的話會出現有的邊上不實在,安插座的時候勁大點,里面就會塌,需要重新返工。需要注意的是普通發泡膠不防火,存在消防隱患,出于消防安全上的考慮,建議使用B2級別以上的防火發泡膠,比如說防火門專用發泡膠。
裝修時有的會用到輕鋼龍骨墻,簡單地說就是用輕質鋼骨做骨架,外包水泥板和石膏板的一種墻,這種墻也可以叫夾心餅干。好處就是電線不用開槽,只要在設計好的地方將插座暗盒的孔挖出來就行了。
布管穿線后就開始中期驗收,發現問題可以及時解決,一旦封槽后就沒有后悔藥賣了。室內配電箱的驗收:
1. 控制開關及保護裝置的規格、型號符合設計要求;
2. 箱體內各匯流排齊全,排列合理絕緣良好。接線線色正確、導線接頭平齊、不得絞接。
3. 配電箱內總開關容量低于電表箱內容量。各回路開關應與該回路容量匹配。配電箱內各回路標志明確、清晰、清楚、工整,接線整齊,線頭不得露在外面。
4. 安裝標準是1800mm,方便使用。
根據墻體結構確定是否可以開槽,簡單的方法是承重墻不能開槽,非承重墻可以開槽。開槽深度沒有一定的標準,有線管敷設后低于墻面5mm的,有線管直徑加10mm的,有開槽大約2cm,再加上2cm的抹灰、膩子、涂料作保護層的。除在合同上寫上確定的具體開槽深度,是地面開槽還是墻上開槽還是地面墻上都開槽外,驗收時需要確定:
1、開槽深度是否一致。
2、開槽位置是否合理。
3、是否橫平豎直,墻上是否有斜槽,一般情況下墻上不準有斜槽。
4、是否傷到墻里面的鋼筋,鋼筋受傷情況的匯總,補救措施是否到位。正常情況下是不準傷到墻里面的鋼筋,以免損傷墻體結構,影響抗震和防雷。
5、線槽有沒有漏掉沒開的。
6、墻上是否有橫槽,一般情況下墻上不準有橫槽,尤其是承受水平力的剪力墻。
7、地面是否開槽。根據地磚和木地板的安裝工藝不同確定是否真的需要在地面開槽,比如說鋪實木地板的話沒必要地面開槽。衛生間的地面有防水層,是不允許地面開槽的,以免破壞防水層。
8、地面開槽是否傷到地面里的鋼筋保護層。地面開槽一般只開到找平層,不能傷到地面里面的鋼筋。
布管驗收時需要確定:
1、管子90度拐彎時是否使用彎頭,使用彎頭的話電線拉不動,規范做法是使用彎管器或彈簧彎管直接把管子彎成90度。
2、分線是否用接線盒過渡。使用三通防礙穿線、換線,須用接線盒過渡,不能用三通。
3、管子進入暗盒是否使用入盒鎖扣,鎖扣主要是防止后期電線與底盒之間的摩擦,防止損傷電線。《建筑電氣工程驗收規范》2011版15.2.1規定:管口應有保護措施,所以管子進入暗盒必須使用入盒鎖扣。
4、管子是否避開家具的擺放位置。沒有避開的話安裝插座開關后使用起來不方便甚至被家具擋住后沒法用。
5、電線管和水管,燃氣管、暖氣管之間的間距是否符合設計圖紙的要求。
穿線的驗收時需要確定:
1、電線是否套管。不套管的話會因電線老化而導致電線破損造成電線短路;同時,一旦出現電線斷掉的情況根本無法換線,只有改明線。
2、是否是活線。穿管的管線應該每一根都用手拽一下,尤其是地上的電線管里的電線,看能否拽動,如果拽不動就是死線,更換線路就麻煩了。
3、強弱電是否分開。強弱電必須分開,以免弱電信號被干擾。國標是50cm,沒有這個條件的最低20cm。強電在上弱電在下,盡量避免互相交叉。
4、是否按照設計規定敷設導線。電線過細容易過載發生火災,電線過粗容易造成負荷能力上的浪費。
5、電線是否分色,使用回路標識。不分色的話一旦需要檢修,就分不清哪根是哪根,是干什么用的。回路標識上寫的有不同回路的名稱,不使用回路標識的話就分不清哪根線屬于哪個回路,容易連錯線,造成事故。
6、是否重復布線。重復布線浪費人力物力,一旦線路出現問題,在有如“天羅地網”的布局中很難檢測。
7、不同回路的電線,不應穿于同一導管內,管內電線不得有接頭。電線橫截面積不能超過電線管的40%,由此測算,2.5平方的線穿16的管子不能超過2根,穿20的管子不能超過3根;4平方的線穿20的管子不能超過兩根。
8、電線接頭是否搪錫。電線掛錫主要作用是使電線接頭全部安全牢固的鏈接在一起,徹底杜絕普通工藝由于鏈接效果不好,而造成的打火短路現象。 在施工中有不搪錫使壓線帽的,有先連接后搪錫的,有不搪錫的。
9、用500V兆歐表測試各回路絕緣電阻值,線間絕緣或線與地之間的絕緣必須在0.5MΩ以上,不達標的電線可能會被擊穿。
1. 控制開關及保護裝置的規格、型號符合設計要求;
2. 箱體內各匯流排齊全,排列合理絕緣良好。接線線色正確、導線接頭平齊、不得絞接。
3. 配電箱內總開關容量低于電表箱內容量。各回路開關應與該回路容量匹配。配電箱內各回路標志明確、清晰、清楚、工整,接線整齊,線頭不得露在外面。
4. 安裝標準是1800mm,方便使用。
根據墻體結構確定是否可以開槽,簡單的方法是承重墻不能開槽,非承重墻可以開槽。開槽深度沒有一定的標準,有線管敷設后低于墻面5mm的,有線管直徑加10mm的,有開槽大約2cm,再加上2cm的抹灰、膩子、涂料作保護層的。除在合同上寫上確定的具體開槽深度,是地面開槽還是墻上開槽還是地面墻上都開槽外,驗收時需要確定:
1、開槽深度是否一致。
2、開槽位置是否合理。
3、是否橫平豎直,墻上是否有斜槽,一般情況下墻上不準有斜槽。
4、是否傷到墻里面的鋼筋,鋼筋受傷情況的匯總,補救措施是否到位。正常情況下是不準傷到墻里面的鋼筋,以免損傷墻體結構,影響抗震和防雷。
5、線槽有沒有漏掉沒開的。
6、墻上是否有橫槽,一般情況下墻上不準有橫槽,尤其是承受水平力的剪力墻。
7、地面是否開槽。根據地磚和木地板的安裝工藝不同確定是否真的需要在地面開槽,比如說鋪實木地板的話沒必要地面開槽。衛生間的地面有防水層,是不允許地面開槽的,以免破壞防水層。
8、地面開槽是否傷到地面里的鋼筋保護層。地面開槽一般只開到找平層,不能傷到地面里面的鋼筋。
布管驗收時需要確定:
1、管子90度拐彎時是否使用彎頭,使用彎頭的話電線拉不動,規范做法是使用彎管器或彈簧彎管直接把管子彎成90度。
2、分線是否用接線盒過渡。使用三通防礙穿線、換線,須用接線盒過渡,不能用三通。
3、管子進入暗盒是否使用入盒鎖扣,鎖扣主要是防止后期電線與底盒之間的摩擦,防止損傷電線。《建筑電氣工程驗收規范》2011版15.2.1規定:管口應有保護措施,所以管子進入暗盒必須使用入盒鎖扣。
4、管子是否避開家具的擺放位置。沒有避開的話安裝插座開關后使用起來不方便甚至被家具擋住后沒法用。
5、電線管和水管,燃氣管、暖氣管之間的間距是否符合設計圖紙的要求。
穿線的驗收時需要確定:
1、電線是否套管。不套管的話會因電線老化而導致電線破損造成電線短路;同時,一旦出現電線斷掉的情況根本無法換線,只有改明線。
2、是否是活線。穿管的管線應該每一根都用手拽一下,尤其是地上的電線管里的電線,看能否拽動,如果拽不動就是死線,更換線路就麻煩了。
3、強弱電是否分開。強弱電必須分開,以免弱電信號被干擾。國標是50cm,沒有這個條件的最低20cm。強電在上弱電在下,盡量避免互相交叉。
4、是否按照設計規定敷設導線。電線過細容易過載發生火災,電線過粗容易造成負荷能力上的浪費。
5、電線是否分色,使用回路標識。不分色的話一旦需要檢修,就分不清哪根是哪根,是干什么用的。回路標識上寫的有不同回路的名稱,不使用回路標識的話就分不清哪根線屬于哪個回路,容易連錯線,造成事故。
6、是否重復布線。重復布線浪費人力物力,一旦線路出現問題,在有如“天羅地網”的布局中很難檢測。
7、不同回路的電線,不應穿于同一導管內,管內電線不得有接頭。電線橫截面積不能超過電線管的40%,由此測算,2.5平方的線穿16的管子不能超過2根,穿20的管子不能超過3根;4平方的線穿20的管子不能超過兩根。
8、電線接頭是否搪錫。電線掛錫主要作用是使電線接頭全部安全牢固的鏈接在一起,徹底杜絕普通工藝由于鏈接效果不好,而造成的打火短路現象。 在施工中有不搪錫使壓線帽的,有先連接后搪錫的,有不搪錫的。
9、用500V兆歐表測試各回路絕緣電阻值,線間絕緣或線與地之間的絕緣必須在0.5MΩ以上,不達標的電線可能會被擊穿。
封槽
一般都用水泥沙漿封槽。《建筑電氣工程驗收規范》2011版14.1.4規定:當絕緣導管在砌體上剔槽埋設時,應采用強度等級不小于 M10 的水泥砂漿抹面保護,保護層厚度大于 15mm。
封槽工藝:
1、將布好的線管開的線槽內部清理干凈,用毛刷去除浮塵,用噴壺噴水潮濕槽基。
2、用水泥封填槽基,待充填材料半凝固時,用刮刀去除高出原墻面的多余部分。
3、在水泥表面重復灑水養護,直至水泥完全固化。
4、封槽后的墻面、地面不得高于所在平面。
5、線路封槽不要留間隙,否則以后縫隙處受壓過久之后會導致一些難以修正的結果出現,輕則裂縫,重則塌陷。
水泥的特性是不能太薄,太薄了會空鼓、開裂,當水泥的厚度過薄,喪失水分的速度會比較快,如果養護跟不上的話,開裂的可能性就很大。因為這個原因,有用石膏封槽的,這一點有偷懶的嫌疑。石膏有個特性,不能太厚,厚了就容易開裂。所以說槽深的用水泥,槽淺的用石膏。普通的石膏分成兩種:高強石膏和裝飾石膏,這兩種一般都是用來給墻面粗略找平的。某些裝修公司的做法是廚衛用水泥砂漿來填槽,客廳臥室采用石膏填槽。
在水泥的干燥、發酵過程中,會發熱,會把雜質崩開。石膏相對水泥來說就是雜質,水泥如果遇到填槽里的石膏,必然會產生影響。
1、石膏可以控制水泥的水化反應速度,因此水泥緩凝劑生產工藝里有用石膏生產水泥緩凝劑的工藝。水泥如果遇到填槽里的石膏,石膏會不會變成水泥緩凝劑,減緩水泥的硬化速度呢?
2、已經硬化的水泥遇到石膏會有什么現象有兩種說法:一種是石膏的主要化學成分為硫酸鈣(CaSO4)的水合物,在有水的條件下就會對水泥產生硫酸鹽侵蝕。另一種說法是在水泥硬化的過程中石膏起作用,硬化完成后石膏就不會有多大的影響。這兩種說法不知道哪種說得對,這一點不知道有沒有權威的說法。
基于上面兩點疑問,我對使用石膏封槽的做法存疑。
一般都用水泥沙漿封槽。《建筑電氣工程驗收規范》2011版14.1.4規定:當絕緣導管在砌體上剔槽埋設時,應采用強度等級不小于 M10 的水泥砂漿抹面保護,保護層厚度大于 15mm。
封槽工藝:
1、將布好的線管開的線槽內部清理干凈,用毛刷去除浮塵,用噴壺噴水潮濕槽基。
2、用水泥封填槽基,待充填材料半凝固時,用刮刀去除高出原墻面的多余部分。
3、在水泥表面重復灑水養護,直至水泥完全固化。
4、封槽后的墻面、地面不得高于所在平面。
5、線路封槽不要留間隙,否則以后縫隙處受壓過久之后會導致一些難以修正的結果出現,輕則裂縫,重則塌陷。
水泥的特性是不能太薄,太薄了會空鼓、開裂,當水泥的厚度過薄,喪失水分的速度會比較快,如果養護跟不上的話,開裂的可能性就很大。因為這個原因,有用石膏封槽的,這一點有偷懶的嫌疑。石膏有個特性,不能太厚,厚了就容易開裂。所以說槽深的用水泥,槽淺的用石膏。普通的石膏分成兩種:高強石膏和裝飾石膏,這兩種一般都是用來給墻面粗略找平的。某些裝修公司的做法是廚衛用水泥砂漿來填槽,客廳臥室采用石膏填槽。
在水泥的干燥、發酵過程中,會發熱,會把雜質崩開。石膏相對水泥來說就是雜質,水泥如果遇到填槽里的石膏,必然會產生影響。
1、石膏可以控制水泥的水化反應速度,因此水泥緩凝劑生產工藝里有用石膏生產水泥緩凝劑的工藝。水泥如果遇到填槽里的石膏,石膏會不會變成水泥緩凝劑,減緩水泥的硬化速度呢?
2、已經硬化的水泥遇到石膏會有什么現象有兩種說法:一種是石膏的主要化學成分為硫酸鈣(CaSO4)的水合物,在有水的條件下就會對水泥產生硫酸鹽侵蝕。另一種說法是在水泥硬化的過程中石膏起作用,硬化完成后石膏就不會有多大的影響。這兩種說法不知道哪種說得對,這一點不知道有沒有權威的說法。
基于上面兩點疑問,我對使用石膏封槽的做法存疑。


返回頂部
刷新頁面
下到頁底